刚刚,阿里巴巴正式开源了全新一代大模型——千问Qwen3.5-Plus。这款模型凭借其创新架构和卓越性能,在多个维度上实现了新的突破。

该模型的总参数规模达到了3970亿(397B),但通过创新的稀疏架构,每次推理时仅激活约170亿(17B)参数。这种“以小胜大”的设计,使其在性能上超越了许多万亿参数级别的模型,例如其自家前代旗舰Qwen3-Max。同时,显存占用降低了约60%,推理效率获得大幅提升,最大推理吞吐量甚至可提升至19倍。
目前,Qwen3.5-Plus模型已接入千问官方APP及PC端。对于开发者而言,可以前往魔搭社区和HuggingFace平台下载模型权重进行部署与研究。同时,阿里云百炼平台也提供了开箱即用的API服务,其定价极具竞争力,每百万Token(输入+输出)低至0.8元。
原生多模态:模型性能实现全方位跃升
与Qwen3等前代纯文本大语言模型不同,千问3.5系列实现了从纯文本到原生多模态模型的代际跨越。Qwen3基于纯文本Token进行预训练,而Qwen3.5则直接在视觉和文本混合的Token上进行预训练。模型还大幅增加了中英文、多语言、STEM学科以及推理相关的训练数据。
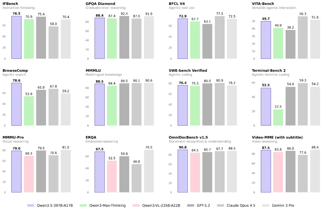
这使得“睁开眼”的大模型能够学习到更密集的世界知识和更复杂的推理逻辑。因此,Qwen3.5-Plus以不到40%的参数量,获得了媲美甚至超越万亿参数基座模型Qwen3-Max的顶尖性能。在推理、编程、AI Agent等全方位的基准评估中,其表现均十分优异。
具体来看,Qwen3.5在MMLU-Pro认知能力评测中得分87.8,超越了GPT-5.2;在博士级难题GPQA测评中斩获88.4分,高于Claude 4.5;在指令遵循IFBench上以76.5分刷新了所有模型的纪录。在通用Agent评测BFCL-V4、搜索Agent评测BrowseComp等基准中,其表现也超越了Gemini 3 Pro。
原生多模态训练同样带来了视觉能力的飞跃。在多模态推理(MathVison)、通用视觉问答VQA(RealWorldQA)、文本识别与文件理解(CC_OCR)、空间智能(RefCOCO-avg)、视频理解(MLVU)等众多权威评测中,千问3.5均取得了最佳性能。
在学科解题、任务规划与物理空间推理等任务上,Qwen3.5相比千问的专项视觉模型Qwen3-VL表现更优,空间定位和带图推理能力显著增强,分析更为精细精准。在视频理解方面,模型支持长达2小时(对应约1M token上下文)的视频直接输入,非常适合用于长视频内容分析与摘要生成。
此外,Qwen3.5实现了视觉理解与代码能力的原生融合。结合图像搜索和图像生成工具,模型可将手绘界面草图直接转换为可用的前端代码,甚至能通过一张应用截图定位并修复UI问题,让“视觉编程”真正成为生产力工具。如果你对这些Transformer架构下的创新应用感兴趣,可以到云栈社区的人工智能板块进行更深入的探讨。
创新门控技术:小参数如何实现极致性能?
Qwen3.5性能跃升的背后,是对经典Transformer架构的重大创新。千问团队自研的门控技术成果曾斩获2025年NeurIPS最佳论文,这一前沿技术已被融入Qwen3.5创新的混合架构中。
团队结合了线性注意力机制与稀疏混合专家(MoE)模型架构,从而实现了397B总参数仅激活17B的极致效率。同时,通过训练稳定性优化以及多token预测等一系列技术,Qwen3.5的性能与Qwen3-Max模型持平,并进一步提升了推理效率:在常用的32K上下文场景中,推理吞吐量可提升8.6倍;在256K超长上下文情况下,最大吞吐量提升可达19倍。

千问3.5推理效率大幅提升,最大吞吐量提升至19倍
Qwen3.5的原生多模态训练是在阿里云强大的AI基础设施上高效完成的。通过一系列基础技术创新,其在文本、图像、视频等混合数据上的训练吞吐量,已接近100%持平于纯文本基座模型的训练效率,这大幅降低了原生多模态训练的难度门槛。同时,通过精巧设计的FP8、FP32混合精度应用策略,在训练扩展至数十万亿Token规模时,激活内存减少了约50%,训练速度还能提升约10%,进一步节约了模型训练成本。
Agent应用新突破:智能体支持扩展至百万级
基于顶级的视觉与推理能力,Qwen3.5在AI Agent的应用层面也实现了新的突破。模型现在可以自主操作手机与电脑,高效完成日常任务。在移动端,它支持更多主流APP与复杂指令;在PC端,则可处理跨应用数据整理、自动化流程执行等多步骤复杂操作,显著提升办公与操作效率。
同时,千问团队构建了一个可扩展的Agent异步强化学习框架,端到端训练速度可加速3到5倍,并将基于插件的智能体Agent支持扩展至百万级规模。今年1月,千问App发布了全球首个消费级AI购物Agent。仅春节期间,该Agent就在6天内帮助用户完成了1.2亿笔订单,在全球范围内首次实现了大规模真实世界任务执行和商业化验证。能力大幅增强的Qwen3.5,无疑将进一步拓展AI Agent在工作和生活场景中“帮人办事”的想象力。
自2023年开源以来,阿里已累计开源超过400个千问系列模型,覆盖全尺寸、全模态。千问模型的全球下载量已突破10亿次,单月下载量是DeepSeek、Meta、OpenAI、智谱、Kimi、MiniMax等第二名至第八名下载量之和。开发者基于千问开发的衍生模型超过20万个,使其成为公认的全球第一开源模型社区,也是对开发者最友好的开源大模型生态之一。
为了满足全球不同国家和地区的AI开发者与企业需求,千问大模型持续演进。Qwen3.5扩展支持多达201种语言,并将词表大小从15万扩展到25万,最高可提升小语种60%的编码效率。更多不同尺寸、不同功能的千问3.5系列模型也将陆续开源发布,性能更强的旗舰模型Qwen3.5-Max也将在不久后与大家见面。对于热衷开源实战的开发者来说,这无疑是一个值得持续关注的技术动态。