
理解材料如何“记住”过去的状态,是物理学和材料科学中的一项长期挑战。近日,这一领域迎来了突破性进展。物理学顶刊《物理评论快报》(Physical Review Letters)与《物理评论E》(Physical Review E)背靠背发表的两篇论文,提出了一种理解动态迟滞现象的全新理论框架——滞回动力学景观理论。该研究由北京师范大学的马宇翰课题组完成,其中发表在PRL的论文被选为“编辑推荐”(Editors‘ Suggestion),在官网首页展示。

论文题目:Coercivity Landscape Characterizes Dynamic Hysteresis
论文链接:https://journals.aps.org/prl/abstract/10.1103/5rg8-52gl
发表时间:2026年3月19日
发表期刊:Physical Review Letters

论文题目:Finite-time and finite-size scalings of coercivity in dynamic hysteresis
论文链接:https://journals.aps.org/pre/abstract/10.1103/mzvj-n6vn
发表时间:2026年3月19日
发表期刊:Physical Review E
什么是迟滞与矫顽力?
迟滞(Hysteresis) 是材料“记忆效应”的核心体现。无论是磁性材料中的磁化翻转、铁电体中的极化反转,还是其他复杂系统中的响应,系统的当前状态不仅取决于“此刻外场有多强”,还取决于“它是如何走到这里的”。这种路径依赖性使得迟滞现象不仅是凝聚态物理和统计物理的基础课题,也直接关系到高频电磁器件、磁传感器和信息存储等应用的关键性能。
在这些应用中,一个核心问题是:要改变材料的“记忆状态”,究竟需要多大的驱动力?这个衡量系统翻转阈值的关键物理量,就是矫顽力(Coercivity)。它直接决定了器件运行的开关门槛、稳定性和能耗。因此,理解矫顽力如何随外界驱动条件变化,既是基础理论问题,也是高性能材料与器件设计的迫切需求。
动态迟滞的跨尺度难题
然而,真实世界中的驱动往往不是无限缓慢的。当材料在有限速率的外场驱动下,其行为会变得复杂,这就是动态迟滞。一个长期存在的跨尺度难题是:当我们以不同速率去驱动,或考察不同尺寸的相互作用系统时,迟滞回线的形状和矫顽力的大小会呈现出多样且看似矛盾的变化。

图1:驱动速率显著影响相互作用系统的迟滞回线。在准静态极限下,有限尺寸系统的迟滞回线会闭合,而宏观系统的迟滞回线则收敛于一个稳定的静态极限。
慢驱动下,有限尺寸系统的回线可能因热涨落而逐渐闭合;而在宏观极限中,系统却可能收敛到一个稳定的静态迟滞。往更快驱动端看,矫顽力又会表现出不同的标度行为。这些现象多以“局部规律”的形式被零散研究,缺乏一个能够同时贯通不同时间尺度(驱动速率)与空间尺度(系统尺寸)的统一理论框架。
从“碎片化规律”到“全景图”:滞回动力学景观的提出
为了解决这一难题,马宇翰课题组提出了滞回动力学景观理论。在这一框架下,系统的动态迟滞行为可以被组织成一张以驱动速率为横轴、以矫顽力为纵轴的 “矫顽力景观”(Coercivity Landscape) 图。
这张“全景图”的关键价值在于,它不再局限于讨论某一段局部的幂律关系,而是将系统从极慢到极快驱动下的全部丰富动力学行为统一呈现。历史上许多看似分散甚至矛盾的实验结果和理论预测,现在可以被理解为落在了同一张景观图中的不同区域,只是对应着不同的主导物理机制。

图2:(a-d)不同速率驱动时的迟滞回线;(e)矫顽力景观图;(f)不同噪声强度(系统尺寸)下的矫顽力景观;(g)矫顽力随噪声强度和驱动速率的变化。
更重要的是,研究团队在这张滞回动力学景观中发现了一个此前未被系统认识的核心结构:一个稳定且具有普适性的 “平台区(Plateau)” 。在这个相当宽的驱动速率范围内,系统的矫顽力几乎保持不变。这意味着,即使进一步提高驱动速率,材料的翻转阈值也不会显著上升,系统对驱动速率表现出一种罕见的“不敏感”特性。
平台区的物理机制:有限时间与有限尺寸的竞争
“平台区”的出现并非偶然,它源于两种效应的竞争与协同:
- 有限时间效应:驱动变快时,系统来不及跨越能量势垒,翻转阈值倾向于升高。
- 有限尺寸效应:系统尺寸有限时,热涨落会促使系统提前翻转,从而削弱翻转阈值的限制。
这两种机制在不同驱动区间内交织、制衡,最终在景观中塑造出平坦的平台。从更深层看,这揭示了一个重要的物理事实:热力学极限(系统尺寸趋于无穷大)与准静态极限(驱动速率趋于零)通常是不可交换的。平台区为观测和定量刻画这种非交换性提供了一个清晰的窗口。
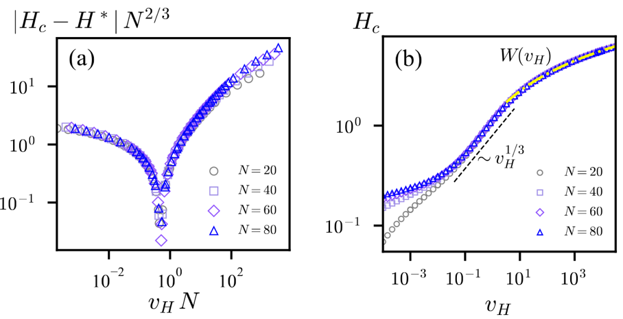
为了精确描述这一区域,研究团队基于重整化群理论,系统分析了其特征量的有限尺寸标度关系,并建立了相应的数据坍缩方案。这使得平台区不再只是一个“看上去很平”的现象,而成为一个具有明确数学标度律、可预测、可外推的定量结构。对这类有限尺寸效应的深刻理解,也让我们思考如何将其应用到更广泛的复杂系统优化问题中。
理论的普适性检验:从连续模型到微观磁学
为了检验这一理论图景的普适性,课题组将其推广到磁学中的经典相互作用模型——Curie-Weiss(CW)模型中进行验证。研究表明,平台区及其附近区域在CW模型中依然表现出极强的跨模型稳健性。这说明“平台区”并不是某一特定模型(如连续的场论模型)的偶然特征,而是动态迟滞跨尺度行为中一个更深层的普适结构。

图3:Curie-Weiss模型中矫顽力随驱动速率的变化。(a)矫顽力平台区的有限尺寸标度坍缩结果;(b)平台区之后的较快驱动区间展现独特的标度规律。
同时,CW模型也揭示了更精细的物理图景:在远离平衡态的极快驱动区,系统的行为对微观动力学细节(如弛豫机制)高度敏感,其标度规律不再具有强稳健性。这提示我们,矫顽力景观实际上揭示了动态迟滞中的“双重层次”:平台区体现跨模型的普适结构;而极快驱动端则体现远离平衡条件下的模型依赖性。这为解释为何高频端的实验结果常常出现差异提供了新的理论视角。
研究意义与未来展望
该系列工作不仅为动态迟滞绘制了一张统一的“记忆地图”,更在多个方面搭建了桥梁:
- 连接理论与实验:它将微观非平衡统计物理模型与宏观唯象模型联系起来,为长期存在的理论与实验偏差提供了新的分析基准。所得到的有限尺寸标度律具有明确的实验可检验性,有望在二维铁磁、铁电等材料中直接观测。
- 启发交叉研究:通过将一级相变动力学与动力学相变(DPT)统一到矫顽力景观框架下,该工作为多个前沿方向提供了新启发,例如含相变工作物质的热机优化、相互作用系统的信息热力学以及非平衡统计物理中的有限时间热力学等。
这项研究展示了理论物理在揭示复杂现象深层统一性方面的强大力量。从材料的记忆到器件的性能,一张清晰的“景观图”或许正指引着我们更精准地预测和控制物质的非平衡行为。对这类前沿交叉领域进展感兴趣的开发者与研究者,可以在云栈社区的相关板块找到更多深入的讨论与资源。