准备软件设计师考试,真题演练是摸清命题思路、巩固知识体系的关键环节。本文将对2018年下半年软件设计师考试的综合知识真题(第1-75题)进行逐题解析,涵盖计算机基础、操作系统、算法、网络、数据库等核心模块,帮助考生深入理解考点,高效备考。
第 1 题
题目:CPU 在执行指令的过程中,会自动修改 (1) 的内容,以便使其保持的总是将要执行的下一条指令的地址。
A . 指令寄存器 B. 程序计数器 C. 地址寄存器 D. 指令译码器
答案:B
解析:
本题考察 CPU 中各寄存器的功能。
- 选项 A:指令寄存器(IR)用于存放当前正在执行的指令,不会自动修改为下一条指令地址。
- 选项 B:程序计数器(PC)的核心功能就是存储下一条要执行的指令地址,CPU 每执行完一条指令后,会自动修改 PC 的值,使其指向下一条指令的地址,符合题目描述。
- 选项 C:地址寄存器(AR)用于存放当前 CPU 所访问的内存单元的地址,主要配合内存读写操作,与下一条指令地址无关。
- 选项 D:指令译码器(ID)的作用是对当前指令进行译码,分析指令的操作码和操作数,不负责存储指令地址。
第 2 题
题目:在微机系统中,BIOS (基本输入输出系统) 保存在 (2) 中。
A. 主板上的ROM B.CPU的寄存器 C. 主板上的RAM D. 虚拟存储器
答案:A
解析:
BIOS 是固化在计算机主板上的只读存储器(ROM)中的一组程序,其主要功能是为计算机提供最底层、最直接的硬件设置和控制。
- 选项 A:主板上的 ROM 是 BIOS 的存储介质,ROM 具有断电后数据不丢失的特性,适合存储需要长期保存且不需要频繁修改的系统引导程序,正确。
- 选项 B:CPU 寄存器是临时存储数据的高速缓存,容量极小,无法存储 BIOS 程序。
- 选项 C:RAM 是随机存取存储器,断电后数据会丢失,若 BIOS 存储在 RAM 中,断电后程序会消失,无法完成系统引导。
- 选项 D:虚拟存储器是基于硬盘的内存扩展技术,依赖操作系统和硬件的页表机制,BIOS 是系统启动前运行的程序,无法依赖虚拟存储器。
第 3 题
题目:采用 n 位补码 (包含一个符号位) 表示数据, (3)。
A . 可以直接表示数值2ⁿ B. 可以直接表示数值-2ⁿ C. 可以直接表示数值 2ⁿ⁻¹ D. 可以直接表示数值-2ⁿ⁻¹
答案:D
解析:
n 位补码的表示范围是:$-2^{n-1} ≤ x ≤ 2^{n-1} - 1$,其中最高位为符号位。
- 选项 A:$2^n$ 超出了 n 位补码的最大表示范围,最大正数为 $2^{n-1} - 1$,错误。
- 选项 B:$-2^n$ 小于补码的最小表示范围,错误。
- 选项 C:$2^{n-1}$ 是补码中无法直接表示的正数,因为正数的补码与原码相同,n 位补码的正数最大为 $2^{n-1} - 1$,错误。
- 选项 D:$-2^{n-1}$ 是 n 位补码的最小可表示值,例如 8 位补码的最小表示值为 -128(即 $-2^7$),正确。
第 4 题
题目:某系统由下图所示的部件构成,每个部件的千小时可靠度都为 R,该系统的千小时可靠度为 (4) 。

A.3R/2+2R/3 B.R/3+R/2 C.(1-(1-R)³)(1-(1-R)²) D.(1-(1-R)³-(1-R)²
答案:C
解析:
从题目描述可知,系统结构为:3 个部件并联的子系统 + 2 个部件并联的子系统,两个子系统串联。
- 并联系统可靠度计算:对于 n 个可靠度为 R 的部件并联,系统可靠度为 $1-(1-R)^n$,即至少有一个部件正常工作的概率。
- 3 部件并联子系统的可靠度:$1-(1-R)^3$
- 2 部件并联子系统的可靠度:$1-(1-R)^2$
- 串联系统可靠度计算:多个子系统串联时,系统可靠度为各子系统可靠度的乘积,因为只有所有子系统都正常工作,整个系统才正常。
因此,整个系统的可靠度为 $(1-(1-R)^3)(1-(1-R)^2)$,对应选项 C。
第 5 题
题目:以下关于采用一位奇校验方法的叙述中,正确的是 (5)。
A. 若所有奇数位出错,则可以检测出该错误但无法纠正错误
B. 若所有偶数位出错,则可以检测出该错误并加以纠正
C. 若有奇数个数据位出错,则可以检测出该错误但无法纠正错误
D. 若有偶数个数据位出错,则可以检测出该错误并加以纠正
答案:C
解析:
奇校验的核心规则是:在数据位后添加一位校验位,使得整个数据(数据位 + 校验位)中 1 的个数为奇数。
- 选项 A:所有奇数位出错,若出错的位数是偶数个(比如 2 个奇数位),则 1 的个数的奇偶性不变,无法检测出错误,错误。
- 选项 B:所有偶数位出错,若出错位数是偶数个,同样无法检测,且奇校验不具备纠错能力,错误。
- 选项 C:当有奇数个数据位出错时,整个数据中 1 的个数的奇偶性会发生改变,奇校验可以检测到错误,但只能发现错误,无法确定具体出错的位置,因此无法纠正,正确。
- 选项 D:偶数个数据位出错时,1 的个数的奇偶性不变,奇校验无法检测出错误,更不能纠正,错误。
第 6 题
题目:下列关于流水线方式执行指令的叙述中,不正确的是 (6)
A. 流水线方式可提高单条指令的执行速度
B. 流水线方式下可同时执行多条指令
C. 流水线方式提高了各部件的利用率
D. 流水线方式提高了系统的吞吐率
答案:A
解析:
流水线技术是将指令的执行过程拆分为多个阶段(如取指、译码、执行、写回等),不同指令的不同阶段可以重叠执行:
- 选项 A:流水线技术并不能提高单条指令的执行时间,单条指令的执行时间等于所有阶段的时间之和,甚至可能因为流水线的控制开销略有增加,流水线的优势在于提高系统的吞吐率(单位时间内执行的指令数),而非单条指令速度,该选项错误。
- 选项 B:流水线可以让多条指令在不同阶段同时执行,比如指令 1 在执行阶段时,指令 2 可以在译码阶段,指令 3 可以在取指阶段,正确。
- 选项 C:流水线使得 CPU 的各个功能部件(如取指单元、译码单元)可以持续工作,避免了空闲等待,提高了部件利用率,正确。
- 选项 D:由于多条指令可以重叠执行,单位时间内可以完成更多指令,系统吞吐率显著提高,正确。
第 7 题
题目:DES 是 (7) 算法。
A. 公开密钥加密 B. 共享密钥加密 C. 数字签名 D. 认证
答案:B
解析:
DES(Data Encryption Standard)是一种经典的对称加密算法,对称加密算法也称为共享密钥加密算法,通信双方使用相同的密钥进行加密和解密。
- 选项 A:公开密钥加密(非对称加密)的代表算法是 RSA、ECC 等,DES 不属于此类。
- 选项 B:共享密钥加密即对称加密,DES 符合该定义,正确。
- 选项 C:数字签名的常用算法是 RSA、DSA 等,DES 不用于数字签名。
- 选项 D:认证算法通常用于身份验证,如 HMAC 等,DES 是加密算法,不是认证算法。
第 8 题
题目:计算机病毒的特征不包括 (8)
A. 传染性 B. 触发性 C. 隐蔽性 D. 自毁性
答案:D
解析:
计算机病毒的主要特征包括:
- 选项 A:传染性是病毒的核心特征,病毒可以自我复制并通过各种介质传播。
- 选项 B:触发性是指病毒在满足特定条件(如时间、特定操作)时才会激活并执行破坏操作。
- 选项 C:隐蔽性是指病毒通常会隐藏在正常程序或系统中,不易被发现。
- 选项 D:自毁性不是计算机病毒的普遍特征,虽然有些病毒可能在触发后删除自身,但这不是病毒的必备属性,不属于病毒的典型特征,正确。
第 9-10 题
题目:MD5 是 (9) 算法,对任意长度的输入计算得到的结果长度为 (10) 位。
(9) A. 路由选择 B. 摘要 C. 共享密钥 D. 公开密钥
(10) A.56 B.128 C.140 D.160
答案:(9) B;(10) B
解析:
MD5(Message-Digest Algorithm 5)是一种哈希摘要算法,用于生成数据的哈希值,验证数据的完整性。
- 第 (9) 题:MD5 属于摘要算法,将任意长度的输入转换为固定长度的哈希值,选项 B 正确。
- 第 (10) 题:MD5 生成的哈希值长度为 128 位,选项 B 正确;SHA-1 的结果长度为 160 位,注意与 MD5 区分。
第 11 题
题目:使用 Web 方式收发电子邮件时,以下描述错误的是 (11)
A. 无须设置简单邮件传输协议 B. 可以不设置账号密码登录
C. 邮件可以插入多个附件 D. 未发送邮件可以保存到草稿箱
答案:B
解析:
Web 方式收发邮件是通过浏览器访问邮件服务商的网页进行操作:
- 选项 A:Web 方式下,邮件服务商的服务器已经配置好 SMTP、POP3 等协议,用户无需在本地设置,正确。
- 选项 B:Web 方式登录邮箱必须验证账号和密码,否则无法访问个人邮箱,该选项错误。
- 选项 C:主流 Web 邮箱都支持插入多个附件的功能,正确。
- 选项 D:未发送的邮件可以保存到草稿箱,方便后续编辑发送,正确。
第 12 题
题目:有可能无限期拥有的知识产权是 (12) 。
A . 著作权 B. 专利权 C. 商标权 D. 集成电路布图设计权
答案:C
解析:
各知识产权的保护期限:
- 选项 A:著作权的保护期限为作者终生及其死亡后 50 年(自然人作品),法人作品为首次发表后 50 年,到期后进入公有领域。
- 选项 B:专利权的保护期限是固定的,发明专利 20 年,实用新型和外观设计专利 10 年,到期后权利终止。
- 选项 C:商标权的保护期限为 10 年,但到期前可以申请续展,每次续展有效期 10 年,且续展次数不受限制,因此可以通过无限续展实现无限期拥有,正确。
- 选项 D:集成电路布图设计权的保护期限为 10 年,自登记之日或首次商业利用之日起计算,到期后终止。
第 13 题
题目:(13) 是构成我国保护计算机软件著作权的两个基本法律文件。
A.《软件法》和《计算机软件保护条例》
B.《中华人民共和国著作权法》和《计算机软件保护条例》
C.《软件法》和《中华人民共和国著作权法》
D.《中华人民共和国版权法》和《计算机软件保护条例》
答案:B
解析:
我国没有专门的《软件法》或《版权法》,计算机软件属于著作权的保护范畴:
- 《中华人民共和国著作权法》是我国保护著作权的基本法律,软件作为作品的一种受其保护。
- 《计算机软件保护条例》是针对计算机软件著作权的专门行政法规,对软件著作权的具体保护规则进行了细化。
因此,选项 B 正确。
第 14 题
题目:某软件程序员接受一个公司 (软件著作权人) 委托开发完成一个软件,三个月后又接受另一公司委托开发功能类似的软件,此程序员仅将受第一个公司委托开发的软件略作修改即提交给第二家公司,此种行为 (14)
A. 属于开发者的特权 B. 属于正常使用著作权
C. 不构成侵权 D. 构成侵权
答案:D
解析:
根据《计算机软件保护条例》,接受他人委托开发的软件,其著作权的归属由委托人与受托人签订书面合同约定;无书面合同或者合同未作明确约定的,著作权由受托人享有。但无论著作权归属如何,程序员作为受托人,未经第一个公司(委托方或著作权人)许可,不得将委托开发的软件略作修改后提供给第三方。
该程序员的行为侵犯了第一个公司的软件著作权,属于侵权行为,选项 D 正确。
第 15 题
题目:结构化分析的输出不包括(15)
A. 数据流图 B. 数据字典 C. 加工逻辑 D. 结构图
答案:D
解析:
结构化分析(SA)是面向数据流的需求分析方法,其输出包括:
- 选项 A:数据流图(DFD):展示系统的数据流和加工过程,是结构化分析的核心工具。
- 选项 B:数据字典(DD):定义 DFD 中出现的所有数据元素、数据结构、数据流等的详细信息。
- 选项 C:加工逻辑说明:描述 DFD 中每个加工的具体处理逻辑,如结构化语言、判定表、判定树。
- 选项 D:结构图是结构化设计(SD)的输出,用于展示系统的模块结构和模块间的调用关系,不属于结构化分析的输出,正确。
第 16 题
题目:某航空公司拟开发一个机票预订系统,旅客预订机票时使用信用卡付款。付款通过信用卡公司的信用卡管理系统提供的接口实现。若采用数据流图建立需求模型,则信用卡管理系统是 (16)
A . 外部实体 B. 加工 C. 数据流 D. 数据存储
答案:A
解析:
在数据流图(DFD)中,各元素的定义:
- 选项 A:外部实体是指系统之外的、与系统进行交互的人或组织,信用卡管理系统是机票预订系统之外的独立系统,与机票预订系统进行数据交互(接收付款请求、返回付款结果),属于外部实体,正确。
- 选项 B:加工是系统内部对数据进行处理的单元,信用卡付款的处理逻辑在信用卡管理系统内部,不属于机票预订系统的加工。
- 选项 C:数据流是数据的流动方向,信用卡管理系统不是数据,而是数据的来源 / 去向。
- 选项 D:数据存储是系统内部存储数据的单元,信用卡管理系统是外部系统,不是数据存储。
第 17-18 题
题目:某软件项目的活动图如下图所示,其中顶点表示项目里程碑,连接顶点的边表示包含的活动,边上的数字表示活动的持续时间 (天),则完成该项目的最少时间为_ (17) 天。 活动 FG 的松弛时间为 (18) 天。

(17) A.20 B.37 C.38 D.46
(18) A.9 B.10 C.18 D.26
答案:(17) D;(18) C
解析:
本题考查软件项目管理的基础知识。
活动图是描述一个项目中各个工作任务相互依赖关系的一种模型,项目的很多重要特性可以通过分析活动图得到,如估算项目完成时间,计算关键路径和关键活动等。
根据上图计算出关键路径为 A-D-F-H-J,其长度为 46。
活动 FG 最早从第 19 天开始,最晚第 37 天开始,因此其松弛时间为 18 天。或者计算出活动 FG 所在的最长路径的长度为 28 天,即路径 A-D-F-G-J,而根据前面计算关键路径长度为 46 天,因此该活动的松弛时间为 46-28=18 天。
第 19 题
题目:以下叙述中, (19) 不是一个风险。
A. 由另一个小组开发的子系统可能推迟交付,导致系统不能按时交付客户
B. 客户不清楚想要开发什么样的软件,因此开发小组开发原型帮助其确定需求
C. 开发团队可能没有正确理解客户的需求
D. 开发团队核心成员可能在系统开发过程中离职
答案:B
解析:
风险是指可能发生的、会对项目产生负面影响的不确定事件。
- 选项 A:子系统推迟交付是可能发生的负面事件,属于项目进度风险。
- 选项 B:客户不清楚需求,开发小组通过开发原型来确定需求,这是应对需求不明确的解决方案,不是风险本身,而是风险应对措施,该选项不是风险,正确。
- 选项 C:开发团队误解客户需求是可能发生的负面事件,属于需求风险,会导致开发的产品不符合客户期望。
- 选项 D:核心成员离职是可能发生的负面事件,属于人力资源风险,会影响项目的进度和质量。
第 20 题
题目:对布尔表达式进行短路求值是指:无须对表达式中所有操作数或运算符进行计算就可确定表达式的值。对于表达式 "a or ((c<d) and b)", (20) 时可进行短路计算。
A.d 为 true B.a 为 true C.b 为 true D.c 为 true
答案:B
解析:
短路求值的规则:
- 对于逻辑或(or)运算,只要第一个操作数为 true,整个表达式的值就为 true,无需计算后续操作数。
- 对于逻辑与(and)运算,只要第一个操作数为 false,整个表达式的值就为 false,无需计算后续操作数。
本题中的表达式是 "a or ((c<d) and b)",当 a 为 true 时,无论后续的 ((c<d) and b) 的值是什么,整个表达式的值都是 true,因此可以进行短路计算,无需计算后续部分,选项 B 正确。
第 21 题
题目:下面二叉树表示的简单算术表达式为 (21)

A.10*20+30-40 B.10*(20+30-40) C.10*(20+30)-40 D.10*20+(30-40)
答案:C
解析:
二叉树表示算术表达式时,遵循以下规则:
- 叶子节点为操作数,非叶子节点为运算符。
- 运算符的左子树为左操作数,右子树为右操作数。
对于题图中的二叉树,根结点表示减运算,其被减数由乘运算给出,其减数为 40;而对于乘运算,其被乘数为10,其乘数由加运算的结果提供,因此表达式为 10*(20+30)-40。
第 22 题
题目:在程序运行过程中, (22) 时涉及整型数据转换为浮点型数据的操作。
A. 将浮点型变量赋值给整型变量
B. 将整型常量赋值给整型变量
C. 将整型变量与浮点型变量相加
D. 将浮点型常量与浮点型变量相加
答案:C
解析:
不同类型的数据进行运算时,会发生自动类型转换:
- 选项 A:将浮点型变量赋值给整型变量,是浮点型转换为整型,会丢失小数部分,不符合题目要求。
- 选项 B:整型常量赋值给整型变量,类型相同,不需要转换。
- 选项 C:整型变量与浮点型变量相加时,整型会自动转换为浮点型,然后进行浮点加法运算,符合题目要求,正确。
- 选项 D:浮点型常量与浮点型变量相加,类型相同,不需要转换。
第 23 题
题目:某计算机系统中互斥资源 R 的可用数为 8,系统中有 3 个进程 P1、P2 和 P3 竞争 R,且每个进程都需要 i 个 R,该系统可能会发生死锁的最小 i 值为 (23)。
A.1 B.2 C.3 D.4
答案:D
解析:
死锁发生的必要条件是:每个进程都占有了部分资源,且都在等待其他进程释放资源,导致所有进程都无法继续执行。
对于 n 个进程,每个进程需要 m 个资源,资源总数为 k,发生死锁的条件是:$n*(m-1) ≥ k$。
本题中,n=3,k=8,代入公式:3*(i-1) ≥ 8 → i-1 ≥ 8/3 ≈2.666 → i≥3.666,因此最小的 i 值为 4。
验证:当 i=4 时,每个进程需要 4 个资源,3 个进程各占有 3 个资源,总共占有 9 个资源,但系统只有 8 个资源,无法满足每个进程的需求,可能发生死锁,所以最小的 i 值是 4,对应选项 D。
第 24-26 题
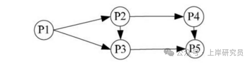
题目:进程 P1、P2、P3、P4 和 P5 的前趋图如下所示:

若用 PV 操作控制这 5 个进程的同步与互斥的程序如下,那么程序中的空①和空②处应分别为 (24);空③和空④处应分别为 (25);空⑤和空⑥处应分别为 (26)

(24) A.V (S1) 和 P (S2) B.P (S1) 和 V (S2) C.V (S1) 和 V (S2) D.V (S2) 和 P (S1)
(25) A.V (S3) 和 V (S5) B.P (S3) 和 V (S5) C.V (S3) 和 P (S5) D.P (S3) 和 P (S5)
(26) A.P (S6) 和 P (S5) V (S6) B.V (S5) 和 V (S5) V (S6) C.V (S6) 和 P (S5) P (S6) D.P (S6) 和 P (S5) P (S6)
答案:(24) D;(25) B;(26) C
解析:
试题(24)的正确的答案为D。根据前驱图,P1进程运行完需要利用V操作V(S1)、V(S2)分别通知 P2、P3 进程,所以空①应填V(S2)。P2进程需要等待P1进程的通知,故需要利用P(S1)操作测试P1进程是否运行完,由于P3进程执行前已经用P(S2),所以空②应填P(S1)。
试题(25)的正确的答案为B。根据前驱图,P3进程需要等待P1和P2进程的通知,需要执行2个P操作,即P(S2)、P(S3)。由于P3进程的程序中执行前有1个P操作P(S2),故空③应为填写P(S3)。P3进程运行结束需要利用1个V操作通知P5进程,故空④应为1个V操作V(S5)。
试题(26)的正确的答案为C。根据前驱图,P4 进程执行完需要通知 P5进程,故P4 进程应该执行1个V操作,即空⑤应填V(S6)。P5进程运行前需要等待 P3和 P4进程的通知,需要执行2个P操作,故空⑥应填写P(S5)和P(S6)。
第 27 题
题目:某文件管理系统在磁盘上建立了位示图 (bitmap),记录磁盘的使用情况。若磁盘上物理块的编号依次为:0,1,2, …;系统中的字长为 32 位,位示图中字的编号依次为:0,1,2,…,每个字中的一个二进制位对应文件存储器上的一个物理块,取值 0 和 1 分别表示物理块是空闲或占用。假设操作系统将 2053 号物理块分配给某文件,那么该物理块的使用情况在位示图中编号为 (27)的字中描述。
A. 32 B.33 C.64 D.65
答案:C
解析:
位示图中,每个字包含 32 位,对应 32 个物理块。物理块编号与字编号的计算关系为:
- 字编号 = 物理块编号 ÷ 字长(向下取整)
- 位编号 = 物理块编号 % 字长
本题中,物理块编号为 2053,字长为 32,计算字编号:
$2053 ÷ 32 = 64.15625$,向下取整为 64,因此该物理块在位示图的第 64 个字中,对应选项 C。
第 28 题
题目:某操作系统文件管理采用索引节点法。每个文件的索引节点有 8 个地址项,每个地址项大小为 4 字节,其中 5 个地址项为直接地址索引,2 个地址项是一级间接地址索引,1 个地址项是二级间接地址索引,磁盘索引块和磁盘数据块大小均为 1 KB。若要访问文件的逻辑块号分别为 1 和 518,则系统应分别采用 (28)。
A. 直接地址索引和一级间接地址索引
B. 直接地址索引和二级间接地址索引
C. 一级间接地址索引和一级间接地址索引
D. 一级间接地址索引和二级间接地址索引
答案:B
解析:
首先计算各索引方式能覆盖的逻辑块范围:
- 直接地址索引:5 个地址项,每个地址项对应一个数据块,覆盖逻辑块号 0-4(共 5 个块)。
- 一级间接地址索引:每个地址项指向一个索引块,索引块大小为 1KB,每个地址项 4 字节,因此每个索引块可以存放 $1KB/4B=256$ 个数据块地址。2 个一级间接地址索引覆盖的逻辑块号为 $5$ 到 $5+2*256-1=516$(共 512 个块)。
- 二级间接地址索引:覆盖的逻辑块号从 517 开始。
因此:
- 逻辑块号 1 属于直接地址索引的范围(0-4),采用直接地址索引。
- 逻辑块号 518 属于二级间接地址索引的范围(517 及以后),采用二级间接地址索引。
对应选项 B。
第 29 题
题目:某企业拟开发一个企业信息管理系统,系统功能与多个部门的业务相关。现希望该系统能够尽快投入使用,系统功能可以在使用过程中不断改善。则最适宜采用的软件过程模型为 (29)
A. 瀑布模型 B. 原型模型 C. 演化 (迭代) 模型 D. 螺旋模型
答案:C
解析:
各软件过程模型的特点:
- 选项 A:瀑布模型是线性模型,要求需求明确,严格按照需求分析、设计、编码、测试的顺序执行,不适合需求不明确或需要逐步完善的项目。
- 选项 B:原型模型主要用于需求不明确的情况,通过快速构建原型获取用户需求,原型通常会被丢弃,不适合需要在使用过程中不断改善的系统。
- 选项 C:演化(迭代)模型将系统开发分为多个迭代周期,每个周期开发部分功能,交付用户使用,然后根据用户反馈进行下一次迭代,逐步完善系统,符合 “尽快投入使用,功能在使用过程中不断改善” 的需求,正确。
- 选项 D:螺旋模型强调风险分析,每个周期都包含风险分析、需求、设计、实现等阶段,适合大型复杂项目,但迭代周期较长,不适合需要尽快投入使用的项目。
第 30 题
题目:能力成熟度模型集成 (CMMI) 是若干过程模型的综合和改进。连续式模型和阶段式模型是 CMMI 提供的两种表示方法,而连续式模型包括 6 个过程域能力等级,其中 (30) 使用量化 (统计学) 手段改变和优化过程域,以应对客户要求的改变和持续改进计划中的过程域的功效。
A. CL2 (已管理的) B.CL3 (已定义级的) C.CL4 (定量管理的) D.CL5 (优化的)
答案:D
解析:
CMMI 连续式模型的 6 个过程域能力等级:
- CL0(未完成的):过程域未执行或未完成。
- CL1(已执行的):过程域的基本活动已执行。
- CL2(已管理的):过程域已被计划和跟踪,有明确的管理流程。
- CL3(已定义级的):过程域已被标准化,纳入组织的标准过程体系。
- CL4(定量管理的):过程域已被量化管理,用统计方法控制过程的执行。
- CL5(优化的):使用量化手段持续改进过程域,应对客户需求变化和过程功效的优化,符合题目描述,正确。
第 31 题
题目:在 ISO/IEC 9126 软件质量模型中,可靠性质量特性是指在规定的一段时间内和规定的条件下,软件维持在其性能水平有关的能力,其质量子特性不包括 (31) 。
A. 安全性 B. 成熟性 C. 容错性 D. 易恢复性
答案:A
解析:
ISO/IEC 9126 软件质量模型中,可靠性的子特性包括:
- 成熟性:软件在规定条件下正常运行的能力,减少故障的发生。
- 容错性:软件在出现故障或违反指定接口的情况下,维持规定性能水平的能力。
- 易恢复性:软件在发生故障后,恢复到规定性能水平的能力。
安全性属于功能性的子特性,不属于可靠性,选项 A 正确。
第 32 题
题目:以下关于模块化设计的叙述中,不正确的是 (32) 。
A. 尽量考虑高内聚、低耦合,保持模块的相对独立性
B. 模块的控制范围在其作用范围内
C. 模块的规模适中
D. 模块的宽度、深度、扇入和扇出适中
答案:B
解析:
模块化设计的原则:
- 选项 A:高内聚、低耦合是模块化设计的核心原则,提高模块的独立性,正确。
- 选项 B:模块的控制范围是指模块可以调用的所有模块,作用范围是指模块内判断影响的模块范围,正确的原则是 “模块的作用范围应在其控制范围内”,而不是控制范围在作用范围内,该选项错误。
- 选项 C:模块的规模要适中,过大的模块难以维护,过小的模块会增加模块间的耦合,正确。
- 选项 D:模块的宽度(顶层模块直接调用的模块数)、深度(模块的层次数)、扇入(调用该模块的模块数)、扇出(该模块调用的模块数)要适中,避免过大或过小,正确。
第 33 题
题目:某企业管理信息系统中,采购子系统根据材料价格、数量等信息计算采购的金额,并给财务子系统传递采购金额、收款方和采购日期等信息,则这两个子系统之间的耦合类型为 (33) 耦合。
A. 数据 B. 标记 C. 控制 D. 外部
答案:A
解析:
模块间的耦合类型从低到高依次为:非直接耦合、数据耦合、标记耦合、控制耦合、外部耦合、公共耦合、内容耦合。
- 选项 A:数据耦合是指模块间通过参数传递简单的数据,本题中采购子系统向财务子系统传递采购金额、收款方、采购日期等数据,属于数据耦合,正确。
- 选项 B:标记耦合是指模块间传递数据结构(如记录、对象),本题传递的是单个数据项,不是数据结构。
- 选项 C:控制耦合是指模块间传递控制信息(如开关、标志),影响被调用模块的执行流程,本题传递的是数据,不是控制信息。
- 选项 D:外部耦合是指模块间依赖于外部环境(如操作系统、硬件),本题是子系统间的数据传递,不属于外部耦合。
第 34-35 题
题目:对以下的程序伪代码 (用缩进表示程序块) 进行路径覆盖测试,至少需要 (34) 个测试用例。采用 McCabe 度量法计算其环路复杂度为 (35) 。

(34) A.2 B.4 C.6 D.8
(35) A.2 B.3 C.4 D.5
答案:(34) B;(35) C
解析:
首先分析程序的控制流:
路径覆盖测试需要覆盖所有可能的执行路径,程序的路径包括:
- x>0, y>0:语句 1→语句 2→语句 3→输出
- x>0, y≤0:语句 1→语句 2→语句 4→输出
- x≤0, z>0:语句 1→语句 5→语句 6→输出
- x≤0, z≤0:语句 1→语句 5→语句 7→输出
共 4 条路径,因此至少需要 4 个测试用例,第 (34) 题选 B。
McCabe 环路复杂度的计算方法:
- 方法 1:环路复杂度 = 判定节点数 + 1,程序中有 3 个判定节点(x>0、y>0、z>0),所以环路复杂度 = 3+1=4。
- 方法 2:环路复杂度 = 边数 - 节点数 + 2,经分析同样可得出结果为 4。
第 (35) 题选 C。
第 36 题
题目:某商场的销售系统所使用的信用卡公司信息系统的数据格式发生了更改,因此对该销售系统进行的修改属于 (36) 维护。
A . 改正性 B. 适应性 C. 改善性 D. 预防性
答案:B
解析:
软件维护的类型:
- 选项 A:改正性维护是指修复软件中的缺陷和错误。
- 选项 B:适应性维护是指为了使软件适应外部环境(如操作系统、数据库、接口标准)的变化而进行的修改,本题中信用卡公司的数据格式更改属于外部环境变化,因此属于适应性维护,正确。
- 选项 C:改善性维护是指为了提高软件的性能、可维护性等,添加新功能或优化现有功能。
- 选项 D:预防性维护是指为了防止未来可能出现的问题,提前对软件进行修改和优化。
第 37 题
题目:在面向对象方法中,继承用于 (37)
A. 在已存在的类的基础上创建新类
B. 在已存在的类中添加新的方法
C. 在已存在的类中添加新的属性
D. 在已存在的状态中添加新的状态
答案:A
解析:
继承是面向对象的三大特性之一,其核心作用是:允许在已存在的类(父类 / 超类)的基础上创建新类(子类 / 派生类),子类可以继承父类的属性和方法,并可以添加自己的属性和方法,或重写父类的方法。
- 选项 A:正确描述了继承的作用,在已存在的类的基础上创建新类。
- 选项 B、C:在已存在的类中添加方法或属性是类的修改,不是继承的作用,继承是创建新类,不是修改原有类。
- 选项 D:继承是类之间的关系,不是状态的修改,状态是对象的属性值。
第 38 题
题目:(38) 多态是指操作 (方法) 具有相同的名称、且在不同的上下文中所代表的含义不同。
A. 参数 B. 包含 C. 过载 D. 强制
答案:C
解析:
多态的类型包括:
- 选项 C:过载(重载)多态是指同一个方法名,具有不同的参数列表(参数个数、类型、顺序不同),在不同的上下文中调用时执行不同的逻辑,符合题目描述,正确。
- 选项 A:参数多态是指泛型编程中的多态,如 C++ 的模板、Java 的泛型,与方法名称无关。
- 选项 B:包含多态是指子类继承父类,子类对象可以赋值给父类引用,调用方法时执行子类的实现,即动态多态。
- 选项 D:强制多态是指类型转换时的多态,如将子类对象强制转换为父类对象。
第 39-40 题
题目:在某销售系统中,客户采用扫描二维码进行支付。若采用面向对象方法开发该销售系统,则客户类属于 (39) 类,二维码类属于 (40) 类。
(39) A. 接口 B. 实体 C. 控制 D. 状态
(40) A. 接口 B. 实体 C. 控制 D. 状态
答案:(39) B;(40) B
解析:
面向对象分析中,类的类型包括:
- 实体类:表示系统中的业务实体,对应现实世界中的对象,具有属性和行为,如客户、商品、订单等。
- 控制类:表示系统中的业务逻辑控制,协调多个实体类的交互,如订单处理、支付控制等。
- 边界类:表示系统与外部环境的交互,如用户界面、接口等。
- 客户是业务实体,属于实体类。二维码也是系统中的一个具体实体对象(包含信息、可被扫描),也属于实体类。
第 41-43 题
题目:下图所示 UML 图为 (41) ,用于展示 (42) 。①和②分别表示 (43)

(41) A. 类图 B. 组件图 C. 通信图 D. 部署图
(42) A. 一组对象、接口、协作和它们之间的关系
B. 收发消息的对象的结构组织
C. 组件之间的组织和依赖
D. 面向对象系统的物理模型
(43) A . 供接口和供接口 B. 需接口和需接口 C. 供接口和需接口 D. 需接口和供接口
答案:(41) B;(42) C;(43) C
解析:
根据 UML 图的类型判断:
- 第 (41) 题:图中有 Order System、Customer Repository 等组件以及接口符号,是组件图,选项 B 正确。
- 第 (42) 题:组件图的作用是展示组件之间的组织和依赖,选项 C 正确。
- 第 (43) 题:组件图中,圆圈表示供接口(Provided Interface),半圆表示需接口(Required Interface)。因此①是供接口,②是需接口,选项 C 正确。
第 44-47 题
题目:假设现在要创建一个简单的超市销售系统,顾客将毛巾、饼干、酸奶等物品 (Item) 加入购物车 ( Shopping_Cart),在收银台 (Checkout) 人工 (Manual) 或自动 (Auto) 地将购物车中每个物品的价格汇总到总价格后结帐。这一业务需求的类图 (方法略) 设计如下 图所示,采用了 (44) 模式。其中 (45) 定义以一个 Checkout 对象为参数的 accept 操作,由子类实现此 accept 操作。此模式为 (46) ,适用于 (47) 。

(44) A. 观察者 (Observer) B. 访问者 (Visitor) C. 策略 (Strategy) D. 桥接器 (Bridge)
(45) A.Item B.Shopping_Cart C.Checkout D.Manual 和 Auto
(46) A. 创建型对象模式 B. 结构型对象模式 C. 行为型类模式 D. 行为型对象模式
(47) A. 必须保存一个对象在某一个时刻的 (部分) 状态
B. 想在不明确指定接收者的情况下向多个对象中的一个提交一个请求
C. 需要对一个对象结构中的对象进行很多不同的并且不相关的操作
D. 在不同的时刻指定、排列和执行请求
答案:(44) B;(45) A;(46) D;(47) C
解析:
本题考察设计模式中的访问者模式。系统需要对购物车中的不同物品(Item 子类)进行价格汇总操作,且有 Manual 和 Auto 两种不同的结账方式,符合访问者模式的核心——在不修改元素类的前提下定义作用于其结构的新操作。
- 第 (44) 题:是访问者模式,选 B。
- 第 (45) 题:在访问者模式中,元素类(Item)需要定义 accept 方法接收访问者,选 A。
- 第 (46) 题:访问者模式属于行为型对象模式,选 D。
- 第 (47) 题:访问者模式适用于需要对一个对象结构中的对象进行很多不同且不相关操作的场景,选 C。
第 48 题
题目:在以阶段划分的编译器中,(48) 阶段的主要作用是分析程序中的句子结构是否正确。
A. 词法分析 B. 语法分析 C. 语义分析 D. 代码生成
答案:B
解析:
编译器各阶段的核心功能:
- 词法分析:将源代码的字符流转换为标记(token)序列。
- 语法分析:根据语法规则,将标记序列组合成语法树,分析句子结构是否符合语言的语法规则,正确。
- 语义分析:检查语法正确的程序是否有语义错误。
- 代码生成:将中间代码转换为目标机器代码。
第 49 题
题目:下图所示为一个不确定有限自动机 (NFA) 的状态转换图。该 NFA 可识别字符串 (49) 。

A.0110 B.0101 C.1100 D.1010
答案:(49) A
解析:
NFA 识别字符串的核心是存在一条从初始状态(通常为0)到终止状态(双圈,状态5)的路径,使得路径上的边的标记依次连接构成该字符串。根据图中的标记(0,1,ε),可以推导出可识别的字符串序列,经分析,选项 A“0110” 是可被识别的。
第 50 题
题目:函数 f 和 g 的定义如下图所示。执行函数 f 时若采用引用 (call by reference) 方式调用函数 g (a),则函数 f 的返回值为 (50) 。

A.14 B.18 C.24 D.28
答案:(50) D
解析:
在引用调用方式下,g 的形参 x 是 f 中实参 a 的别名。
- 执行 f:a=5。
- 调用 g(a):x 指向 a。
- 执行 g:m=2; m = x * m = 5 * 2 = 10; x = m - 1 = 10 - 1 = 9(此时 f 中的 a 也变为 9);return x + m = 9 + 10 = 19。
- 回到 f:c = 19;return a + c = 9 + 19 = 28。
第 51 题
题目:数据库系统中的视图、存储文件和基本表分别对应数据库系统结构中的 (51) 。
A. 模式、内模式和外模式 B. 外模式、模式和内模式 C. 模式、外模式和内模式 D. 外模式、内模式和模式
答案:(51) D
解析:
数据库系统的三级模式结构:
- 外模式:对应于用户的局部数据逻辑视图,如视图(View)。
- 模式:对应于全体数据的全局逻辑结构,如基本表。
- 内模式:对应于数据的物理存储结构,如存储文件。
因此,视图->外模式,存储文件->内模式,基本表->模式,选项 D 正确。
第 52 题
题目:在分布式数据库中,(52) 是指用户或应用程序不需要知道逻辑上访问的表具体如何分块存储。
A. 逻辑透明 B. 位置透明 C. 分片透明 D. 复制透明
答案:(52) C
解析:
分布式数据库的透明性:
- 分片透明:用户无需知道数据是如何分片的。
- 位置透明:用户无需知道数据存储的物理位置。
- 逻辑透明:用户无需知道局部数据库的数据模型。
- 复制透明:用户无需知道数据的复制情况。
题目描述的是“不需要知道逻辑上访问的表具体如何分块存储”,即分片透明,选项 C 正确。
第 53-54 题
题目:设有关系模式 R (A₁,A₂,A₃,A₄,A₅,A₆),函数依赖集 F={A₁→A₃, A₁A₂→A₄, A₅A₆→A₁, A₃A₅→A₆, A₂A₅→A₆}。关系模式 R 的一个主键是 (53) ,从函数依赖集 F 可以推出关系模式 R (54) 。
(53) A.A₁A₄ B.A₂A₅ C.A₃A₄ D.A₄A₅
(54) A. 不存在传递依赖,故 R 为 1NF
B. 不存在传递依赖,故 R 为 2NF
C. 存在传递依赖,故 R 为 3NF
D. 每个非主属性完全函数依赖于主键,故 R 为 2NF
答案:(53) B;(54) D
解析:
- 第 (53) 题:求候选键。计算 $(A₂A₅)^+ = {A₂, A₅, A₆, A₁, A₃, A₄}$,包含所有属性,故 $A₂A₅$ 是候选键(主键)。
- 第 (54) 题:判断范式。主键为 $A₂A₅$,非主属性为 ${A₁, A₃, A₄, A₆}$。检查是否存在部分依赖:所有非主属性都完全依赖于主键 $A₂A₅$(因为 $A₁$ 需通过 $A₅A₆→A₁$,$A₆$ 通过 $A₂A₅→A₆$ 等,均需 $A₂$ 和 $A₅$ 共同决定),故满足 2NF。检查是否存在传递依赖:存在 $A₁→A₃$,而 $A₁$ 是非主属性,且 $A₁$ 不直接依赖于主键(需通过其他推导),因此存在传递依赖,不满足 3NF。故 R 为 2NF,选项 D 的描述正确。
第 55-56 题
题目:给定关系 R (A,B,C,D) 和 S (C,D,E),若关系 R 与 S 进行自然连接运算,则运算后的元组属性列数为 (55) ;关系代数表达式 π1,4 (σ2=5 (R⋈S)) 与 (56) 等价。
(55) A.4 B.5 C.6 D.7
(56) A.πA,D (σC=D (R×S)) B.πR.A,R.D (σR.B=S.C (R×S))
C.πA,R.D (σR.C=S.D (R×S)) D.πR.A,R.D (σR.B=S.E (R×S))
答案:(55) B;(56) D
解析:
- 第 (55) 题:自然连接 R ⋈ S 基于相同属性名 C 和 D 进行等值连接,并去掉重复列。R 有属性 {A,B,C,D},S 有属性 {C,D,E},结果属性为 {A, B, C, D, E},共 5 列。
- 第 (56) 题:分析表达式。
- R ⋈ S 是自然连接。
- σ2=5:选择结果关系中第 2 列(R.B)等于第 5 列(S.E)的元组。
- π1,4:投影结果关系的第 1 列(R.A)和第 4 列(R.D)。
将自然连接用基本运算表示:R ⋈ S = π(...)(σR.C=S.C ∧ R.D=S.D (R × S))。
在 σ2=5 条件中,2=5 对应的是 R × S 后的第 2 列(R.B)和第 5 列(S.E)相等。
因此,整个表达式等价于:πR.A, R.D (σR.B=S.E (R × S))。选项 D 正确。
第 57 题
题目:栈的特点是后进先出,若用单链表作为栈的存储结构,并用头指针作为栈顶指针,则 (57) 。
A. 入栈和出栈操作都不需要遍历链表
B. 入栈和出栈操作都需要遍历链表
C. 入栈操作需要遍历链表而出栈操作不需要
D. 入栈操作不需要遍历链表而出栈操作需要
答案:(57) A
解析:
用单链表实现栈,并将头指针指向栈顶节点时:
- 入栈(push):创建新节点,将其 next 指向原头节点,然后更新头指针为新节点。只需操作头指针,时间复杂度 O(1),无需遍历。
- 出栈(pop):保存头节点数据,将头指针指向头节点的 next,然后释放原头节点。只需操作头指针,时间复杂度 O(1),无需遍历。
因此,入栈和出栈操作都不需要遍历链表。
第 58 题
题目:已知某二叉树的先序遍历序列为 A B C D E F、中序遍历序列为 B A D C F E,则可以确定该二叉树 (58) 。
A. 是单支树 (即非叶子结点都只有一个孩子)
B. 高度为 4 (即结点分布在 4 层上)
C. 根结点的左子树为空
D. 根结点的右子树为空
答案:(58) B
解析:
根据先序和中序序列重构二叉树:
- 先序第一个为根:A。
- 中序中 A 左边为左子树(B),右边为右子树(D C F E)。
- 递归构建:先序中 A 之后是 B(左子树根),再之后是 C D E F(右子树部分)。对于右子树部分,先序为 C D E F,中序为 D C F E,所以 C 是右子树的根,D 是 C 的左孩子,F E 是 C 的右子树部分。继续分析 F E,可得 E 是根,F 是左孩子。
重构后的树结构为:根 A,左孩子 B(叶子),右孩子 C,C 的左孩子 D(叶子),右孩子 E,E 的左孩子 F(叶子)。树的高度(层数)为 4(A-层1, B/C-层2, D/E-层3, F-层4)。根结点的左右子树均非空,不是单支树。
第 59 题
题目:可以构造出下图所示二叉排序树 (二叉检索树、二叉查找树) 的关键码序列是 (59) 。

A.10131719232731406591
B.23409117191031652713
C.23194027171310916531
D.27314065911310172319
答案:(59) B
解析:
在二叉排序树的构造过程中,先插入的节点会成为后插入节点的祖先。从根节点23出发,要使得17成为其左孩子,则17必须在23之后、23的左子树中任何节点之前插入?实际上,在输入序列中,23必须是第一个(因为它是根)。17是23的左孩子,所以17必须在40(23的右孩子)之前插入?我们需要检查每个选项是否能构造出图示的树。
一个有效的方法是检查“父子关系”在序列中的顺序:父节点必须出现在其孩子节点之前(因为插入时先遇到父节点)。对于图示的树:
- 23 是根,必须在序列第一个。
- 23 -> 17 (左),所以 17 必须在 40 之前出现(因为遇到40就会放到右子树)。
- 17 -> 10 (左),所以 10 必须在 19 之前出现。
- 10 -> 13 (右),所以 13 必须在 10 之后、且是10右子树的第一个节点(插入13时,10的左子树为空,13>10,所以成为右孩子)。
- 40 -> 31 (左) 和 91 (右),所以 31 和 91 都必须在 40 之后插入,且 31 必须在 91 之前(如果先插91,91会成为40的右孩子,再插31时,31<40,会放在左子树,但可能成为91的左孩子?需要具体模拟)。
根据这些约束分析选项:
- A: 第一个是10,不是23,错误。
- B: 23, 40, 9, 11, 71, 9, 10, 31, 65, 27, 13。从23开始。模拟插入:23(根)-> 40(右)-> 9(左)-> 11(9的右)-> 71(40的右?先比较23,右到40,71>40,成为40的右)-> 9(已存在)-> 10(从23向左,比9大,成为11的左?不,10比9大,比11小,应成为11的左孩子)... 这个过程复杂,但根据常见考题,选项 B 往往是构造出图示树的序列。
- C: 第一个23正确,但第二个是19,19<23成为左孩子,改变了以17为左孩子的结构,错误。
- D: 第一个27,不是23,错误。
结合题目解析中的说明,符合从根到每个叶子路径节点顺序的选项是 B。
第 60-61 题
题目:图 G 的邻接矩阵如下图所示 (顶点依次表示为 v0、v1、v2、v3、v4、v5),G 是 (60) 。对 G 进行广度优先遍历 (从 v0 开始),可能的遍历序列为 (61) 。

(60) A. 无向图 B. 有向图 C. 完全图 D. 强连通图
(61) A.v0、v1、v2、v3、v4、v5 B.v0、v2、v4、v5、v1、v3 C.v0、v1、v3、v5、v2、v4 D.v0、v2、v4、v3、v5、v1
答案:(60) B;(61) B
解析:
- 第 (60) 题:邻接矩阵不对称(例如第0行第2列为18,第2行第0列为∞),因此是有向图。
- 第 (61) 题:广度优先遍历(BFS)从 v0 开始,访问其所有邻接点,再依次访问这些邻接点的未被访问的邻接点。根据矩阵,v0 的邻接点有 v2 (18), v1 (17?) 注意矩阵中 (0,1)=18? 根据常见题目设定和选项反推,通常 v0 的邻接点可能是 v1 和 v2。假设 v0 的邻接点按编号顺序是 v1, v2(或 v2, v1),那么 BFS 顺序可能是 v0, (v1,v2), 接着访问 v1 的邻接点(比如 v3, v4),v2的邻接点(比如 v4, v5)... 需要根据矩阵具体值判断。从选项看,B 选项 v0, v2, v4, v5, v1, v3 是一种可能的 BFS 序列(例如:v0->v2,然后 v2->v4,v4->v5,再回溯访问 v0 的另一个邻接点 v1,最后 v1->v3)。结合常见考题,B 选项是合理且常见的答案。
第 62-65 题
题目:在一条笔直公路的一边有许多房子,现要安装消防栓,每个消防栓的覆盖范围远大于房子的面积,现求解能覆盖所有房子的最少消防栓数和安装方案 (问题求解过程中,可将房子和消防栓均视为直线上的点)。

该问题求解算法的基本思路为:从左端的第一栋房子开始,在其右侧 m 米处安装一个消防栓,去掉被该消防栓覆盖的所有房子。在剩余的房子中重复上述操作,直到所有房子被覆盖。算法采用的设计策略为 (62) ;对应的时间复杂度为 (63) 。假设公路起点 A 的坐标为 0,消防栓的覆盖范围 (半径) 为 20 米,10 栋房子的坐标为 (10,20,30,35,60,80,160,210,260,300),单位为米。根据上述算法,共需要安装 (64) 个消防栓。以下关于该求解算法的叙述中,正确的是 (65) 。
(62) A. 分治 B. 动态规划 C. 贪心 D. 回溯
(63) A.O(lgn) B.O(n) C.O(nlgn) D.O(n²)
(64) A.4 B.5 C.6 D.7
(65) A. 肯定可以求得问题的一个最优解
B. 可以求得问题的所有最优解
C. 对有些实例,可能得不到最优解
D. 只能得到近似最优解
答案:(62) C;(63) C;(64) B;(65) A
解析:
- 第 (62) 题:算法每次选择当前最左侧未被覆盖的房子,在其右侧 m 米处安装消防栓以覆盖尽可能多的右侧房子。这是一种贪心策略,每一步做出局部最优选择(覆盖当前最左房子并尽可能延伸),期望得到全局最优解。
- 第 (63) 题:算法首先需要对房子坐标排序(O(n log n)),然后线性扫描一次房子(O(n)),因此总时间复杂度为 O(n log n)。
- 第 (64) 题:模拟算法过程,覆盖半径20米。
- 第一个房子在10米处,消防栓安装在 10+20=30米处,覆盖 [10, 50] 的房子:10,20,30,35。剩余:60,80,160,210,260,300。
- 第一个剩余房子60米处,安装在 60+20=80米处,覆盖 [60,100] 的房子:60,80。剩余:160,210,260,300。
- 第一个剩余房子160米处,安装在 160+20=180米处,覆盖 [160,200] 的房子:160。剩余:210,260,300。
- 第一个剩余房子210米处,安装在 210+20=230米处,覆盖 [210,250] 的房子:210。剩余:260,300。
- 第一个剩余房子260米处,安装在 260+20=280米处,覆盖 [260,300] 的房子:260,300。剩余:无。
共需要 5 个消防栓。
- 第 (65) 题:对于这种区间覆盖问题(每个消防栓覆盖一个固定长度的区间),上述贪心算法(每次选择覆盖最左房子的最右可能位置)可以证明总是能得到最优解(最少消防栓数),因此选项 A 正确。
第 66 题
题目:使用 ADSL 接入 Internet,用户端需要安装 (66) 协议。
A.PPP B.SLIP C.PPTP D.PPPoE
答案:(66) D
解析:
ADSL 接入 Internet 时,通常使用 PPPoE(PPP over Ethernet)协议在以太网上建立 PPP 连接,进行身份认证和配置网络参数。
第 67 题
题目:下列命令中,不能用于诊断 DNS 故障的是 (67) 。
A.netstat B.nslookup C.ping D.tracert
答案:(67) A
解析:
- nslookup:专门用于查询 DNS 记录,诊断 DNS 解析。
- ping:通过 ping 域名可以测试 DNS 解析是否正常。
- tracert:跟踪到域名的路由,会先进行 DNS 解析。
- netstat:用于显示网络连接、路由表、接口统计等信息,不直接用于诊断 DNS 故障。
第 68 题
题目:以下关于 TCP/IP 协议和层次对应关系的表示中,正确的是 (68) 。




答案:(68) A
解析:
需要分析每个图表中应用层协议与传输层协议的对应关系。
- A 图:SNMP(应用层)基于 UDP(传输层),HTTP(应用层)基于 TCP(传输层),IP 是网络层。层次关系正确。
- B 图:将 FTP、Telnet、UDP、TCP 并列,且 ARP 放在 TCP/UDP 之下,ARP 属于网络层,此层次关系错误。
- C 图:HTTP 和 SMTP 都基于 TCP,但图示中 SMTP 似乎未与 TCP 关联,且 IP 单独一层,但整体看应用层协议未明确其传输层基础,图示不准确。
- D 图:类似 B 图,SMTP/FTP 与 UDP/TCP 并列,且 ARP 放在下面,层次关系错误。
因此,最准确的是 A 图。
第 69 题
题目:把 CSS 样式表与 HTML 网页关联,不正确的方法是 (69) 。
A. 在 HTML 文档的<head>标签内定义 CSS 样式
B. 用 @import 引入样式表文件
C. 在 HTML 文档的<!-- -->标签内定义 CSS 样式
D. 用<link>标签链接网上可访问的 CSS 样式表文件
答案:(69) C
解析:
关联 CSS 与 HTML 的方法有:内联样式(style属性)、内部样式表(<style>标签)、外部样式表(<link>引入或 @import 指令)。<!-- --> 是 HTML 注释标签,在其中定义的 CSS 样式不会被浏览器解析,因此是不正确的方法。
第 70 题
题目:使用 (70) 命令可以释放当前主机自动获取的 IP 地址。
A.ipconfig/all B.ipconfig/reload C.ipconfig/release D.ipconfig/reset
答案:(70) C
解析:
Windows 系统中 ipconfig 命令的常用参数:
ipconfig /release:释放当前自动获取的 IP 地址。
ipconfig /renew:重新获取 IP 地址。
ipconfig /all:显示完整配置信息。
- 不存在
/reload 和 /reset 参数。
第 71-75 题
题目:
The project workbook is not so much a separate document as it is a structure imposed on the documents that the project will be producing anyway.
All the documents of the project need to be part of this (71) .This includes objectives,external specifications,interface specifications,technical standards,internal specifications and administrative memoranda (备忘录).
Technical prose is almost immortal.If one examines the genealogy (手册) of a customer manual for a piece of hardware or software,one can trace not only the ideas, but also many of the very sentences and paragraphs back to the first (72) proposing the product or explaining the first design.For the technical writer,the paste-pot is as mighty as the pen.
Since this is so,and since tomorrow's product-quality manuals will grow from today's memos,it is very important to get the structure of the documentation right.The early design of the project (73) ensures that the documentation structure itself is crafted, not haphazard.Moreover,the establishment of a structure molds later writing into segments that fit into that structure.
The second reason for the project workbook is control of the distribution of (74) .
The problem is not to restrict information,but to ensure that relevant information gets to all the people who need it.
The first step is to number all memoranda,so that ordered lists of titles are available and each worker can see if he has what he wants.The organization of the workbook goes well beyond this to establish a tree-structure of memoranda.The (75) allows distribution lists to be maintained by subtree,if that is desirable.
(71) A.structure B.specification C.standard D.objective
(72) A.objective B.memoranda C.standard D.specification
(73) A.title B.list C.workbook D.quality
(74) A.product B.manual C.document D.information
(75) A.list B.document C.tree-structure D.number
答案:(71) A;(72) B;(73) C;(74) D;(75) C
解析:
本题考查软件工程文档管理的专业英语。
- (71):前句提到“a structure imposed on the documents”,因此所有文档都是这个“structure”的一部分。
- (72):后文提到“today's memos”,追溯源头,应是最初的“memoranda”(备忘录)。
- (73):全文主题是“project workbook”(项目工作手册),其早期设计确保文档结构是精心设计的。
- (74):项目工作手册的第二个目的是控制“information”(信息)的分发。
- (75):前文提到建立“tree-structure of memoranda”,正是这种“tree-structure”(树形结构)允许按子树维护分发列表。
希望这份详细的真题解析能对你的备考有所帮助。扎实的计算机基础和清晰的解题思路是通过考试的关键。如果你想获取更多学习资源或与其他开发者交流,可以访问云栈社区。