第 1 题
题目:VLIW 是(1)的简称。
A. 复杂指令系统计算机
B. 超大规模集成电路
C. 单指令流多数据流
D. 超长指令字
答案:D
解析:
本题考察计算机体系结构中常见术语的英文缩写。
选项 A:复杂指令系统计算机的缩写是 CISC(Complex Instruction Set Computer)。
选项 B:超大规模集成电路的缩写是 VLSI(Very Large Scale Integration)。
选项 C:单指令流多数据流的缩写是 SIMD(Single Instruction Multiple Data)。
选项 D:超长指令字的缩写是 VLIW(Very Long Instruction Word),符合题干要求。
第 2 题
题目:主存与 Cache 的地址映射方式中,(2)方式可以实现主存任意一块装入 Cache 中任意位置,只有装满才需要替换。
A. 全相联 B. 直接映射 C. 组相联 D. 串并联
答案:A
解析:
本题考察 Cache 地址映射的三种核心方式。
选项 A:全相联映射允许主存中的任意一块装入 Cache 的任意位置,Cache 的利用率最高,只有当 Cache 全部装满时才需要进行替换操作,符合题干描述。
选项 B:直接映射是主存块只能装入 Cache 中固定位置,冲突概率高,不需要装满就可能出现替换。
选项 C:组相联映射是直接映射和全相联的折中,主存块只能装入指定组内的任意位置,也存在组内冲突替换。
选项 D:串并联不属于 Cache 地址映射方式。
第 3 题
题目:如果 “2X” 的补码是 “90H”,那么 X 的真值是(3)。
A.72 B.-56 C.56 D.111
答案:B
解析:
解题步骤如下:
首先将十六进制补码 90H 转换为二进制:10010000B。
补码的最高位是 1,说明这是一个负数,需要转换为原码:补码减 1 得反码 10001111B,反码取反得原码 11110000B。
原码转换为十进制:-112,即 2X = -112。
计算 X 的真值:X = -112 / 2 = -56,对应选项 B。
第 4 题
题目:移位指令中的(4)指令的操作结果相当于对操作数进行乘 2 操作。
A. 算术左移 B. 逻辑右移 C. 算术右移 D. 带进位循环左移
答案:A
解析:
不同移位指令的功能分析。
选项 A:算术左移时,符号位保持不变,低位补 0,对于正数和负数(补码表示),左移一位相当于乘以 2,符合题干要求。
选项 B:逻辑右移是高位补 0,右移一位相当于除以 2。
选项 C:算术右移是高位补符号位,右移一位相当于除以 2(整数除法)。
选项 D:带进位循环左移是将进位标志位和操作数一起循环左移,不具备乘 2 的固定功能。
第 5 题
题目:内存按字节编址,从 A1000H 到 B13FFH 的区域的存储容量为(5)KB。
A.32 B.34 C.65 D.67
答案:C
解析:
解题步骤。
计算存储区域的字节数:结束地址 - 起始地址 + 1 = B13FFH - A1000H + 1 = 10400H。
将十六进制 10400H 转换为十进制:1×16^4 + 0×16^3 + 4×16^2 = 65536 + 1024 = 66560 字节。
转换为 KB 单位:66560 / 1024 = 65KB,对应选项 C。
第 6 题
题目:以下关于总线的叙述中,不正确的是(6)。
A. 并行总线适合近距离高速数据传输
B. 串行总线适合长距离数据传输
C. 单总线结构在一个总线上适应不同种类的设备,设计简单且性能很高
D. 专用总线在设计上可以与连接设备实现最佳匹配
答案:C
解析:
总线相关特性分析。
选项 A:并行总线通过多条线路同时传输数据,传输速度快,但信号干扰随距离增加而增大,适合近距离高速传输,描述正确。
选项 B:串行总线通过单条线路逐位传输数据,抗干扰能力强,适合长距离传输,描述正确。
选项 C:单总线结构设计简单,但所有设备共享总线带宽,当多个设备同时通信时会产生冲突,性能较低,该选项描述错误。
选项 D:专用总线为特定设备或功能设计,可以针对性优化,实现与设备的最佳匹配,描述正确。
第 7 题
题目:以下关于网络层次与主要设备对应关系的叙述中,配对正确的是(7)。
A. 网络层 —— 集线器
B. 数据链路层 —— 网桥
C. 传输层 —— 路由器
D. 会话层 —— 防火墙
答案:B
解析:
OSI 七层模型与网络设备的对应关系。
选项 A:集线器工作在物理层,网络层的核心设备是路由器,对应错误。
选项 B:网桥工作在数据链路层,用于连接同类型局域网,对应正确。
选项 C:路由器工作在网络层,传输层没有专门的核心硬件设备,对应错误。
选项 D:防火墙主要工作在网络层和传输层,会话层无对应核心设备,对应错误。
第 8 题
题目:传输经过 SSL 加密的网页所采用的协议是(8)。
A.HTTP B.HTTPS C.S-HTTP D.HTTP-S
答案:B
解析:
网页传输协议分析。
选项 A:HTTP 是超文本传输协议,明文传输,不具备加密功能。
选项 B:HTTPS 是 HTTP over SSL/TLS,通过 SSL 协议对传输数据进行加密,是当前主流的加密网页传输协议,符合题干要求。
选项 C:S-HTTP 是安全超文本传输协议,是 HTTP 的安全扩展,但并未成为主流标准。
选项 D:HTTP-S 是错误的协议名称,无此标准协议。
第 9 题
题目:为了攻击远程主机,通常利用(9)技术检测远程主机状态。
A. 病毒查杀 B. 端口扫描 C.QQ 聊天 D. 身份认证
答案:B
解析:
网络攻击前置技术分析。
选项 A:病毒查杀是防御技术,用于清除本地病毒,与攻击远程主机无关。
选项 B:端口扫描是通过发送探测包检测远程主机开放的端口和服务,是攻击前的信息收集手段,符合题干要求。
选项 C:QQ 聊天是即时通信服务,与攻击技术无关。
选项 D:身份认证是安全验证机制,用于合法访问系统,不是攻击技术。
第 10 题
题目:某软件公司参与开发管理系统软件的程序员张某,辞职到另一公司任职,于是该项目负责人将该管理系统软件上开发者的署名更改为李某(接张某工作)。该项目负责人的行为(10)。
A. 侵犯了张某开发者身份权(署名权)
B. 不构成侵权,因为程序员张某不是软件著作权人
C. 只是行使管理者的权利,不构成侵权
D. 不构成侵权,因为程序员张某现已不是项目组成员
答案:A
解析:
软件著作权相关法律分析。
根据《计算机软件保护条例》,开发者的身份权(署名权)是人身权利,永久受保护,不因开发者离职或职务变更而丧失。项目负责人擅自更改开发者署名,侵犯了张某的署名权,因此选项 A 正确。
选项 B 错误:即使张某不是软件著作权人(职务作品著作权通常归公司),但署名权作为人身权仍归开发者所有。
选项 C、D 错误:管理者无权擅自更改开发者署名,该行为构成侵权。
第 11 题
题目:美国某公司与中国某企业谈技术合作,合同约定使用 1 项美国专利(获得批准并在有效期内),该项技术未在中国和其他国家申请专利。依照该专利生产的产品(11)需要向美国公司支付这件美国专利的许可使用费。
A. 在中国销售,中国企业
B. 如果返销美国,中国企业不
C. 在其他国家销售,中国企业
D. 在中国销售,中国企业不
答案:D
解析:
专利的地域性保护原则。
专利具有地域性,仅在申请国或地区的法律管辖范围内受保护。题干中的专利仅在美国获得批准,未在中国和其他国家申请,因此:
在中国销售产品时,不受美国专利法约束,中国企业无需支付许可使用费,选项 D 正确。
若产品返销美国,受美国专利法保护,需要支付费用,选项 B 错误。
在其他未申请专利的国家销售,同样无需支付费用,选项 C 错误。
第 12 题
题目:以下媒体文件格式中,(12)是视频文件格式。
A.WAV B.BMP C.MP3 D.MOV
答案:D
解析:
媒体文件格式分类。
选项 A:WAV 是无损音频文件格式。
选项 B:BMP 是位图图像文件格式。
选项 C:MP3 是有损压缩音频文件格式。
选项 D:MOV 是苹果公司开发的视频文件格式,属于视频格式,符合题干要求。
第 13 题
题目:以下软件产品中,属于图像编辑处理工具的软件是(13)。
A.Powerpoint B.Photoshop C.Premiere D.Acrobat
答案:B
解析:
软件工具功能分类。
选项 A:Powerpoint 是演示文稿制作软件。
选项 B:Photoshop 是 Adobe 公司开发的专业图像编辑处理工具,符合题干要求。
选项 C:Premiere 是视频编辑软件。
选项 D:Acrobat 是 PDF 文档处理软件。
第 14 题
题目:使用 150DPI 的扫描分辨率扫描一幅 3×4 英寸的彩色照片,得到原始的 24 位真彩色图像的数据量是(14)Byte。
A.1800 B.90000 C.270000 D.810000
答案:D
解析:
图像数据量计算步骤。
计算图像的总像素数:横向像素 = 3 英寸 ×150DPI=450,纵向像素 = 4 英寸 ×150DPI=600,总像素 = 450×600=270000。
24 位真彩色表示每个像素占用 3 字节(24/8)。
总数据量 = 270000×3=810000Byte,对应选项 D。
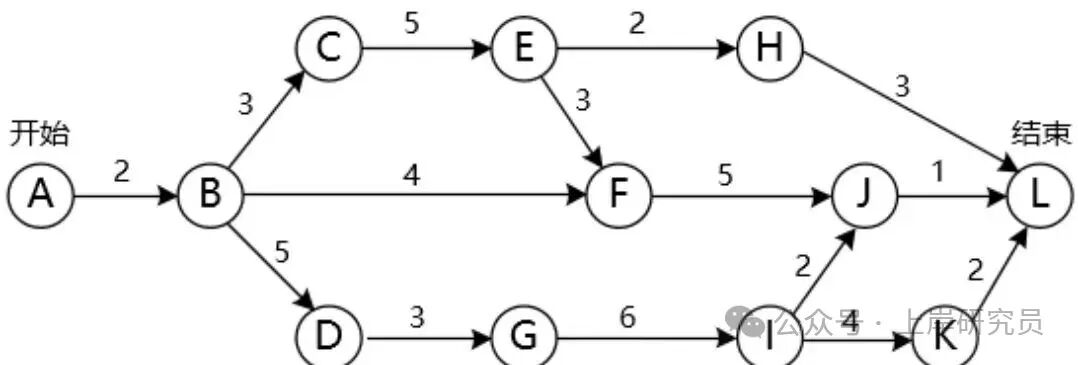
第 15、16 题
题目:某软件项目的活动图如下图所示,其中顶点表示项目里程碑,连接顶点的边表示包含的活动,边上的数字表示活动的持续时间(天),则完成该项目的最少时间为(15)天。活动 BD 最多可以晚开始(16)天而不会影响整个项目的进度。

(15) A.15 B.21 C.22 D.34
(16) A.0 B.2 C.3 D.5
答案:C、A
解析:
本题中,关键路径为:ABDGIKL,其长度为22,所以最短工期22天。BD是关键路径上的活动,其总时差为0,不能被耽误,有任何延误,都会影响总工期,所以BD最多延误0天不会影响总工期。
第 17 题
题目:在结构化分析中,用数据流图描述(17)。
A. 数据对象之间的关系,用于对数据建模
B. 数据在系统中如何被传送或变换,以及如何对数据流进行变换的功能或子功能,用于对功能建模
C. 系统对外部事件如何响应,如何动作,用于对行为建模
D. 数据流图中的各个组成部分
答案:B
解析:
结构化分析工具的功能。
选项 A:数据对象之间的关系由实体联系图(ER 图)描述,用于数据建模。
选项 B:数据流图(DFD)通过描述数据的流动、变换和处理过程,实现对系统功能的建模,符合题干要求。
选项 C:系统对外部事件的响应由状态转换图或事件流图描述,用于行为建模。
选项 D:数据流图的组成部分由数据字典描述。
第 18 题
题目:当采用数据流图对一个图书馆管理系统进行分析时,(18)是一个外部实体。
A. 读者 B. 图书 C. 借书证 D. 借阅
答案:A
解析:
数据流图外部实体的定义。
外部实体是指系统之外与系统进行交互的人或组织,在图书馆管理系统中:
选项 A:读者是系统的外部使用者,属于外部实体。
选项 B:图书是系统管理的数据对象,属于内部数据。
选项 C:借书证是系统的凭证数据,属于内部数据。
选项 D:借阅是系统的功能流程,属于加工过程。
第 19 题
题目:软件开发过程中,需求分析阶段的输出不包括(19)。
A. 数据流图 B. 实体联系图 C. 数据字典 D. 软件体系结构图
答案:D
解析:
需求分析阶段的输出产物。
需求分析阶段主要完成系统的功能和数据需求分析,输出包括:
选项 A:数据流图(DFD),描述系统功能流程。
选项 B:实体联系图(ER 图),描述数据模型。
选项 C:数据字典,定义数据元素和结构。
选项 D:软件体系结构图是系统设计阶段的输出,不属于需求分析阶段,符合题干要求。
第 20 题
题目:以下关于高级程序设计语言实现的编译和解释方式的叙述中,正确的是(20)。
A. 编译程序不参与用户程序的运行控制,而解释程序则参与
B. 编译程序可以用高级语言编写,而解释程序只能用汇编语言编写
C. 编译方式处理源程序时不进行优化,而解释方式则进行优化
D. 编译方式不生成源程序的目标程序,而解释方式则生成
答案:A
解析:
编译与解释方式的区别。
选项 A:编译程序将源程序一次性编译为目标程序,运行时无需编译程序参与;解释程序逐行解释执行源程序,运行时需要解释程序全程参与控制,描述正确。
选项 B:编译程序和解释程序都可以用高级语言编写,如 Java 的解释器就是用 Java 编写的,描述错误。
选项 C:编译方式通常会进行代码优化,而解释方式由于逐行执行,优化难度大,一般不进行优化,描述错误。
选项 D:编译方式生成目标程序,解释方式不生成目标程序,直接执行源程序,描述错误。
第 21 题
题目:以下关于脚本语言的叙述中,正确的是(21)。
A. 脚本语言是通用的程序设计语言
B. 脚本语言更适合应用在系统级程序开发中
C. 脚本语言主要采用解释方式实现
D. 脚本语言中不能定义函数和调用函数
答案:C
解析:
脚本语言的特性分析。
选项 A:脚本语言是专用的解释型语言,不是通用程序设计语言,通用语言如 C、Java。
选项 B:脚本语言适合快速开发和脚本任务,系统级程序开发通常使用编译型语言(如 C)。
选项 C:脚本语言主要采用解释方式执行,如 Python、JavaScript,描述正确。
选项 D:脚本语言支持函数定义和调用,如 Python 的 def 函数、JavaScript 的 function 函数。
第 22 题
题目:将高级语言源程序先转化为一种中间代码是现代编译器的常见处理方式。常用的中间代码有后缀式、(22)、树等。
A. 前缀码 B. 三地址码 C. 符号表 D. 补码和移码
答案:B
解析:
编译器中间代码类型。
现代编译器常用的中间代码包括:
后缀式(逆波兰式)
三地址码(如四元式、三元式)
抽象语法树
选项 B 的三地址码是常见中间代码,符合题干要求;选项 A 前缀码不属于中间代码,选项 C 符号表是编译过程中的数据结构,选项 D 补码移码是数据表示方式。
第 23 题
题目:当用户通过键盘或鼠标进入某应用系统时,通常最先获得键盘或鼠标输入信息的是(23)程序。
A. 命令解释 B. 中断处理 C. 用户登录 D. 系统调用
答案:B
解析:
输入设备的处理流程。
键盘和鼠标属于中断驱动设备,当用户输入时,会触发硬件中断,系统首先调用中断处理程序获取输入信息,然后再传递给上层应用。因此最先获得输入信息的是中断处理程序,对应选项 B。
第 24 题
题目:在 Windows 操作系统中,当用户双击 “IMG_20160122_103.jpg” 文件名时,系统会自动通过建立的(24)来决定使用什么程序打开该图像文件。
A. 文件 B. 文件关联 C. 文件目录 D. 临时文件
答案:B
解析:
Windows 文件管理机制。
Windows 通过文件关联机制,将不同扩展名的文件与对应的应用程序绑定,当双击文件时,系统根据扩展名查找对应的关联程序并启动,因此选项 B 正确。
第 25 题
题目:进程 P1、P2、P3、P4 和 P5 的前趋图如下图所示,若用 PV 操作控制进程并发执行的过程,则需要设置 5 个信号量 S1.S2.S3.S4 和 S5,且信号量 S1~S5 的初值都等于零。下图中 a 和 b 处应分别填写(25)。

A.V(S1)、P(S2)和 V(S3)
B.P(S1)、V(S2)和 V(S3)
C.V(S1)、V(S2)和 V(S3)
D.P(S1)、P(S2)和 V(S3)
答案:C
解析:
PV 操作与前趋图的对应。
根据前趋图,P1 是起始进程,执行完成后需要唤醒 P2 和 P3,因此需要对 S1 和 S2 执行 V 操作(释放信号量),同时图中 b 位置对应唤醒 P3 的 V (S3),因此 a 和 b 处应填写 V (S1)、V (S2) 和 V (S3),对应选项 C。
第 26 题
题目:c 和 d 处应分别填写(26)。

A.P(S2)和 P(S4)
B.P(S2)和 V(S4)
C.V(S2)和 P(S4)
D.V(S2)和 V(S4)
答案:B
解析:
进程 P2 的前趋是 P1,因此 P2 开始前需要执行 P (S2) 获取信号量;P2 执行完成后需要唤醒 P4,因此需要执行 V (S4) 释放信号量,对应选项 B。
第 27 题
题目:e 和 f 处应分别填写(27)。

A.P(S4)和 V(S4)V(S5)
B.V(S5)和 P(S4)P(S5)
C.V(S3)和 P(S4)P(S5)
D.P(S3)和 P(S4)P(S5)
答案:B
解析:
略。
第 28 题
题目:在采用三级模式结构的数据库系统中,如果对数据库中的表 Emp 创建聚簇索引,那么应该改变的是数据库的(28)。
A. 模式 B. 内模式 C. 外模式 D. 用户模式
答案:B
解析:
数据库三级模式结构。
外模式(用户模式):是用户可见的数据库视图。
模式(概念模式):是数据库的整体逻辑结构。
内模式(存储模式):描述数据的物理存储结构和存储方式。
聚簇索引改变了数据的物理存储顺序,属于内模式的范畴,因此选项 B 正确。
第 29 题
题目:在某企业的信息综合管理系统设计阶段,员工实体在质量管理子系统中被称为 “质检员”,而在人事管理子系统中被称为 “员工”,这类冲突被称之为(29)。
A. 语义冲突 B. 命名冲突 C. 属性冲突 D. 结构冲突
答案:B
解析:
数据库设计中的冲突类型。
选项 A:语义冲突是指同一概念在不同子系统中的语义定义不同。
选项 B:命名冲突是指同一实体在不同子系统中使用不同的名称,或不同实体使用相同名称,题干中员工实体在不同子系统名称不同,属于命名冲突。
选项 C:属性冲突是指同一属性在不同子系统中的类型、长度等定义不同。
选项 D:结构冲突是指同一实体在不同子系统中的属性组成不同,或同一联系在不同子系统中的类型不同。
第 30 题
题目:对于关系模式 R(X,Y, Z),下列结论错误的是(30)。
A. 若 X→Y,Y→Z,则 X→Z
B. 若 X→Z,则 XY→Z
C. 若 XY→Z,则 X→Z,Y→Z
D. 若 X→Y,X→Z,则 X→YZ
答案:C
解析:
函数依赖的推理规则(Armstrong 公理)。
选项 A:传递律,若 X→Y 且 Y→Z,则 X→Z,正确。
选项 B:增广律的推论,若 X→Z,则 XY→Z,正确。
选项 C:若 XY→Z,无法推出 X→Z 或 Y→Z,例如订单号 + 商品号→商品价格,但单独订单号或商品号都无法决定价格,该结论错误。
选项 D:合并律,若 X→Y 且 X→Z,则 X→YZ,正确。
第 31 题
题目:若对关系 R1 按(31)进行运算,可以得到关系 R2。

A.σ 商品名=‘毛巾’⋁‘钢笔’(R1)
B.σ 价格≥‘8’(R1)
C.π1,2,3(R1)
D.σ 商品编号=‘01020211’⋁‘02110200’(R1)
答案:B
解析:
关系代数运算分析。
根据题干中 R1 和 R2 的关系,R2 是 R1 中价格≥8 的元组,因此是选择运算 σ 价格≥‘8’(R1),对应选项 B。
选项 A:选择的是毛巾和钢笔,与 R2 不符。
选项 C:投影运算,会保留所有元组的前 3 列,与 R2 不符。
选项 D:选择的是指定商品编号的元组,与 R2 不符。
第 32 题
题目:关系规范化是在数据库设计的(32)阶段进行。
A. 需求分析 B. 概念设计 C. 逻辑设计 D. 物理设计
答案:C
解析:
数据库设计各阶段的任务。
需求分析:收集用户需求。
概念设计:设计 ER 图等概念模型。
逻辑设计:将概念模型转换为关系模式,并进行关系规范化(如消除冗余、分解为高范式)。
物理设计:设计数据库的物理存储结构。
因此关系规范化属于逻辑设计阶段,选项 C 正确。
第 33 题
题目:若给定的关系模式为 R<U,F>,U={A,B,C),F={AB→C,C→B),则关系 R(33)。
A. 有 2 个候选关键字 AC 和 BC,并且有 3 个主属性
B. 有 2 个候选关键字 AC 和 AB,并且有 3 个主属性
C. 只有 1 个候选关键字 AC,并且有 1 个非主属性和 2 个主属性
D. 只有 1 个候选关键字 AB,并且有 1 个非主属性和 2 个主属性
答案:B
解析:
候选关键字与主属性分析。
计算属性的闭包。
AB 的闭包:AB→C,C→B,因此 AB+={A,B,C},可以决定所有属性,AB 是候选关键字。
AC 的闭包:AC→AB(因为 C→B),AB→C,因此 AC+={A,B,C},可以决定所有属性,AC 是候选关键字。
BC 的闭包:BC+={B,C},无法决定 A,不是候选关键字。
主属性是候选关键字中的属性,即 A、B、C 都是主属性,没有非主属性。
因此关系 R 有 2 个候选关键字 AC 和 AB,3 个主属性,对应选项 B。
第 34 题
题目:设关系模式 R<U,F>,其中 U 为属性集,F 是 U 上的一组函数依赖,那么 Armstrong 公理系统的伪传递律是指(34)。
A. 若 X→Y,Y→Z 为 F 所蕴涵,则 X→Z 为 F 所蕴涵
B. 若 X→Y,X→Z,则 X→YZ 为 F 所蕴涵
C. 若 X→Y,WY→Z,则 XW→Z 为 F 所蕴涵
D. 若 X→Y 为 F 所蕴涵,且 Z⊆U,则 XZ→YZ 为 F 所蕴涵
答案:C
解析:
Armstrong 公理系统的规则。
选项 A:传递律。
选项 B:合并律。
选项 C:伪传递律,若 X→Y,WY→Z,则 XW→Z,正确。
选项 D:增广律。
第 35 题
题目:给定关系 R(A,B,C,D)和关系 S(C,D,E),对其进行自然连接运算 R⋈S 后的属性为(35)个。
A.4 B.5 C.6 D.7
答案:B
解析:
自然连接的属性计算。
自然连接会合并相同属性列,R 的属性是 A、B、C、D,S 的属性是 C、D、E,自然连接后合并 C、D 列,最终属性为 A、B、C、D、E,共 5 个,对应选项 B。
第 36 题
题目:σR.B>S.E(R⋈S)等价的关系代数表达式为(36)。
A.σ2>7 (R×S)
B.π1.2.3.4.7 (σ'2'>'7'∧3=5∧4=6 (R×S))
C.σ'2'>'7'(R×S)
D.π1.2.3.4.7 (σ'2'>7'∧3=5∧4=6 (R×S))
答案:D
解析:
自然连接与选择运算的等价转换。
自然连接 R⋈S 等价于 σR.C=S.C∧R.D=S.D (R×S),然后再加上选择条件 R.B>S.E,最后投影去除重复的 C、D 列(即保留 R 的 C、D,去除 S 的 C、D)。
对应关系代数表达式为:π1,2,3,4,7 (σ2>7 ∧ 3=5 ∧ 4=6 (R×S)),其中 2 是 R.B,7 是 S.E,3 是 R.C,5 是 S.C,4 是 R.D,6 是 S.D,对应选项 D。
第 37 题
题目:关系 R.S 如下表所示,元组演算表达式 T={t|R(t)⋀∀u(S(u)→t [3]>u [1]}运算的结果为(37)。

A.

B.

C.

D.

答案:C
解析:
元组演算表达式分析。
表达式的含义是:选择 R 中的元组 t,使得对于 S 中的所有元组 u,都满足 t 的第 3 个属性(R 的 C 列)大于 u 的第 1 个属性(S 的 A 列)。
S 的 A 列值为 {1,2,3},最大值为 3,因此需要 R 中 C 列值大于 3 的元组,即 R 中 C=4 和 C=5 的元组,对应选项 C。
第 38 题
题目:关系 R(A1,A2,A3)上的函数依赖集 F={A1A3→A2,A1A2→A3},若 R 上的一个分解为 ρ={(A1,A2),(A1,A3)},则分解 ρ(38)。
A. 是无损联接的
B. 是保持函数依赖的
C. 是有损联接的
D. 无法确定是否保持函数依赖
答案:C
解析:
无损连接与保持函数依赖判断。
无损连接判断:使用无损连接定理,分解后的两个关系模式(A1,A2)和(A1,A3)的交集是 A1,检查 A1 是否能决定其中一个关系模式的剩余属性。A1 的闭包是 {A1},无法决定 A2 或 A3,因此分解是有损连接。
保持函数依赖判断:原函数依赖 A1A3→A2 和 A1A2→A3,分解后(A1,A2)中包含 A1A2→A3?不,(A1,A2)中只有 A1 和 A2,无法体现 A1A2→A3;(A1,A3)中只有 A1 和 A3,无法体现 A1A3→A2,因此不保持函数依赖。
因此选项 C 正确。
第 39 题
题目:假设关系 R(A1,A2,A3)上的函数依赖集 F={A1→A2,A1→A3,A2→A3},则函数依赖(39)。
A.A1→A2 是冗余的
B.A1→A3 是冗余的
C.A2→A3 是冗余的
D.A1→A2,A1→A3,A2→A3 都不是冗余的
答案:B
解析:
函数依赖的冗余判断。
冗余函数依赖是指可以通过其他函数依赖推导出来的依赖。
由 A1→A2 和 A2→A3,根据传递律可以推出 A1→A3,因此 A1→A3 是冗余的,选项 B 正确。
第 40 题
题目:某企业部门关系模式 Dept(部门号,部门名,负责人工号,任职时间),员工关系模式 EMP(员工号,姓名,年龄,月薪资,部门号,电话,办公室)。部门和员工关系的外键分别是(40)。

A. 员工号和部门号
B. 负责人工号和部门号
C. 负责人工号和员工号
D. 部门号和员工号
答案:B
解析:
外键的定义。
外键是指关系中引用其他关系主键的属性。
Dept 关系中的 “负责人工号” 引用 EMP 关系的主键 “员工号”,因此是 Dept 的外键。
EMP 关系中的 “部门号” 引用 Dept 关系的主键 “部门号”,因此是 EMP 的外键。
对应选项 B。
第 41 题
题目:查询每个部门中月薪资最高的员工号、姓名、部门名和月薪资的 SQL 查询语句如下,(41)处应填写的内容是。
A.Y.部门号 = Dept. 部门号
B.EMP. 部门号 = Dept. 部门号
C.Y. 员工号 = Dept. 负责人工号
D.EMP. 部门号 = Dept. 负责人工号
答案:A
解析:
SQL 查询语句分析。
该查询使用子查询找出每个部门的最高薪资,然后通过关联 EMP 和 Dept 表获取员工和部门信息。外层查询中,Y 是子查询的别名,代表每个部门的最高薪资记录,因此需要将 Y 的部门号与 Dept 的部门号关联,对应选项 A。
第 42 题
题目:(42)处应填写的内容是。
A.Z. 员工号 = Y. 员工号
B.Z. 员工号 = Y. 负责人工号
C.Z. 部门号 = 部门号
D.Z. 部门号 = Y. 部门号
答案:D
解析:
子查询的关联条件。
子查询 Z 中需要找出对应部门薪资等于最高薪资的员工,因此需要将 Z 的部门号与 Y 的部门号关联,对应选项 D。
第 43 题
题目:某公司数据库中的元件关系模式为 P(元件号,元件名称,供应商,供应商所在地,库存量),函数依赖集 F={元件号→元件名称,(元件号,供应商)→(库存量,供应商,供应商所在地)},元件关系的主键为(43)。
A.(元件号,元件名称)
B.(元件号,供应商)
C.(元件号:供应商所在地)
D.(供应商,供应商所在地)
答案:B
解析:
主键的确定。
根据函数依赖集,(元件号,供应商)可以决定所有属性(元件号→元件名称,(元件号,供应商)→库存量、供应商所在地),因此主键是(元件号,供应商),对应选项 B。
第 44 题
题目:该关系存在冗余以及插入异常和删除异常等问题。为了解决这一问题需要将元件关系分解为(44)。
A. 元件 1(元件号,元件名称,供应商,供应商所在地,库存量)
B. 元件 1(元件号,元件名称)、元件 2(供应商,供应商所在地,库存量)
C. 元件 1(元件号,元件名称)、元件 2(元件号,供应商,库存量)、元件 3(供应商,供应商所在地)
D. 元件 1(元件号,元件名称)、元件 2(元件号,库存量)、元件 3(供应商,供应商所在地)、元件 4(供应商所在地,库存量)
答案:C
解析:
关系模式分解。
原关系模式存在传递依赖:(元件号,供应商)→供应商所在地,而供应商→供应商所在地,因此需要分解为 3NF:
元件 1(元件号,元件名称):存储元件基本信息,主键元件号。
元件 2(元件号,供应商,库存量):存储元件的库存信息,主键(元件号,供应商)。
元件 3(供应商,供应商所在地):存储供应商信息,主键供应商。
该分解消除了冗余和异常,对应选项 C。
第 45 题
题目:分解后的关系模式最高可以达到(45)。
A.1NF B.2NF C.3NF D.BCNF
答案:D
解析:
范式判断。
元件 1:元件号→元件名称,主键元件号,所有函数依赖的决定因素都是主键,满足 BCNF。
元件 2:(元件号,供应商)→库存量,主键(元件号,供应商),满足 BCNF。
元件 3:供应商→供应商所在地,主键供应商,满足 BCNF。
因此分解后的关系模式最高达到 BCNF,对应选项 D。
第 46 题
题目:事务有多种性质,“一旦事务成功提交,即使数据库崩溃,其对数据库的更新操作也将永久有效。” 这一性质属于事务的(46)性质。
A. 原子性 B. 一致性 C. 隔离性 D. 持久性
答案:D
解析:
事务的 ACID 特性。
原子性(Atomicity):事务是一个不可分割的整体,要么全部执行,要么全部不执行。
一致性(Consistency):事务执行前后数据库的完整性约束保持不变。
隔离性(Isolation):多个事务并发执行时,彼此之间互不干扰。
持久性(Durability):事务提交后,对数据库的修改永久有效,即使系统崩溃也不会丢失,符合题干描述。
第 47 题
题目:下列关于关系的描述中,正确的是(47)。
A. 交换关系中的两行构成新的关系
B. 关系中两个列的值可以取自同一域
C. 交换关系中的两列构成新的关系
D. 关系中一个列可以由两个子列组成
答案:B
解析:
关系的基本性质。
选项 A:关系中的行是无序的,交换两行仍然是同一个关系,不是新关系。
选项 B:关系中的列可以取自同一域,例如 “员工性别” 和 “客户性别” 都取自 {男,女} 域,描述正确。
选项 C:关系中的列是有序的(列名唯一),交换两列会改变关系的结构,不是同一个关系。
选项 D:关系中的列是原子的,不可再分,不能由子列组成,满足 1NF 的要求。
第 48 题
题目:关系数据库中通常包含多个表,表与表之间的关联关系通过(48)来实现。
A. 指针 B. 外码 C. 索引 D. 视图
答案:B
解析:
表间关联的实现方式。
关系数据库中通过外码(外键)引用其他表的主键,从而建立表与表之间的关联关系,保证参照完整性,对应选项 B。
选项 A:指针是面向对象或文件系统的关联方式。
选项 C:索引用于提高查询效率,与表间关联无关。
选项 D:视图是虚拟表,用于简化查询,不是关联的实现方式。
第 49 题
题目:通过(49)运算将两个关联的表合并成一张信息等价的表。
A. 选择 B. 投影 C. 笛卡尔积 D. 自然连接
答案:D
解析:
关系代数运算的作用。
选择:筛选符合条件的行。
投影:筛选需要的列。
笛卡尔积:将两个表的所有元组进行组合,会产生大量冗余。
自然连接:根据相同属性列进行关联,自动合并相同列,将关联的表合并为等价的信息表,对应选项 D。
第 50 题
题目:若系统使用频度最高的查询语句为 SELECT Sno,Cno FROM SC WHERE Sno='20160101' AND Cno='C101',为使该查询语句的执行效率最高,应创建(50)。

A.Sno 上的索引
B.Cno 上的索引
C.Sno,Cno 上的索引
D.SC 上的视图 SC_V(Sno,Cno)
答案:C
解析:
索引的优化策略。
该查询的过滤条件是 Sno 和 Cno 的等值查询,创建复合索引(Sno,Cno)可以直接通过索引定位到目标元组,无需扫描整个表,执行效率最高,对应选项 C。
选项 A、B:单一索引只能过滤一个条件,仍需要扫描部分数据。
选项 D:视图不会提高查询效率,只是简化查询语句。
第 51 题
题目:将存储过程 p1 的执行权限授予用户 U2 的 SQL 语句为:GRANT(51)ON PROCEDURE P1 TO U2;
A.INSERT B.UPDATE C.DELETE D.EXECUTE
答案:D
解析:
SQL 权限管理。
存储过程的执行权限是 EXECUTE,因此授予执行权限的语句是 GRANT EXECUTE ON PROCEDURE P1 TO U2,对应选项 D。
选项 A、B、C 是表的操作权限,与存储过程无关。
第 52 题
题目:系统中同时运行多个事务,若其中一个事务因为自身故障被系统强行退出,而其它事务仍正常运行,这种故障称为(52)。
A. 事务故障 B. 系统故障 C. 介质故障 D. 程序 BUG
答案:A
解析:
数据库故障类型。
选项 A:事务故障是指单个事务因自身原因(如逻辑错误、死锁)被强行终止,其他事务正常运行,符合题干描述。
选项 B:系统故障是指整个系统崩溃,所有事务都被终止。
选项 C:介质故障是指存储介质损坏,导致数据丢失。
选项 D:程序 BUG 是事务故障的原因之一,不是故障类型。
第 53 题
题目:该故障发生时,会造成数据库的不一致,解决的方法是(53)。
A. 由用户对该事务进行回滚
B. 由程序对该事务进行补偿操作
C. 由 DBMS 对该事务进行回滚
D. 由 DBA 对该事务进行回滚
答案:C
解析:
事务故障的恢复。
事务故障发生后,DBMS 会自动执行回滚(Undo)操作,撤销该事务对数据库的所有修改,恢复到事务执行前的状态,无需用户或 DBA 手动操作,对应选项 C。
第 54 题
题目:如右图所示的并发调度,假设事务 T1、T2 执行前数据项 X、Y 的初值为 X=100,Y=200。该调度执行完成后,X、Y 的值为(54)。

A.X=70,Y=300
B.X=70,Y=330
C.X=70,Y=270
D.X=70,Y=230
答案:C
第 55 题
题目:此类不一致性称为(55)。
A. 丢失修改
B. 读脏数据
C. 不可重复读
D. 破坏事务原子性
答案:A
解析:
并发不一致性类型。
丢失修改:两个事务同时修改同一数据,一个修改覆盖另一个。
读脏数据:读取了未提交事务的数据。
不可重复读:同一事务两次读取同一数据,结果不同。
破坏原子性:事务未完全执行。
第 56 题
题目:运行中的系统因为故障导致服务器重启,正在执行的事务中断,破坏了事务的原子性,恢复的方法是利用日志进行(56)操作。
A.Undo B.Redo C.CoDunit D.Rollback
答案:A
解析:
故障恢复的操作。
Undo 操作:撤销未提交事务对数据库的修改,用于恢复中断的事务,符合题干要求。
Redo 操作:重新执行已提交事务的修改,用于恢复已提交但未写入磁盘的事务。
Rollback 是事务的回滚操作,不是日志恢复的术语。
第 57 题
题目:已经提交的事务在故障发生时尚未写入磁盘,破坏了事务的(57),恢复的方法是利用日志进行 Redo 操作。
A. 原子性 B. 一致性 C. 隔离性 D. 持久性
答案:D
解析:
事务特性的破坏与恢复。
事务提交后,修改应该永久保存,若未写入磁盘就发生故障,破坏了持久性,需要通过 Redo 操作重新执行修改,保证持久性,对应选项 D。
第 58 题
题目:在数据库应用系统开发过程中,常采用(58)来实现对数据库的更新操作,其内部以事务程序的方式来编写。
A. 视图 B. 索引 C. 存储过程 D. 触发器
答案:C
解析:
数据库对象的作用。
选项 A:视图用于简化查询,不能直接实现更新操作。
选项 B:索引用于提高查询效率,与更新操作无关。
选项 C:存储过程是预编译的 SQL 集合,可以包含事务逻辑,用于实现复杂的更新操作,符合题干要求。
选项 D:触发器是自动执行的操作,用于响应表的修改事件,不是主动实现更新的方式。
第 59 题
题目:以下关于扩展 E-R 图设计的描述中,正确的是(59)。
A. 联系可以看作实体,与另一实体产生联系,称为聚合
B. 联系的属性可以是其关联实体的标识符属性
C. 属性可以与其它实体产生联系
D. 三个实体之间的联系与三个实体之间的两两联系是等价的
答案:A
解析:
扩展 E-R 图的概念。
选项 A:聚合是将联系看作一个实体,与其他实体产生联系,描述正确。
选项 B:联系的属性是独立于实体标识符的属性,不能是关联实体的标识符。
选项 C:属性只能属于实体或联系,不能与实体产生联系。
选项 D:三个实体之间的多元联系与两两联系不等价,多元联系表示三个实体共同参与的联系,而两两联系是三个独立的二元联系。
第 60 题
题目:数据库重构是指因为性能原因,对数据库中的某个表进行分解,再通过建立与原表同名的(60)以保证查询该表的应用程序不变。
A. 视图 B. 索引 C. 存储过程 D. 触发器
答案:A
解析:
数据库重构的方法。
对表进行分解后,建立与原表同名的视图,视图将分解后的表重新组合为原表的结构,这样查询原表的应用程序无需修改,直接查询视图即可,对应选项 A。
第 61 题
题目:通过修改更新原表的(61)以保证外部程序对数据库的更新调用不变。
A. 视图 B. 索引 C. 存储过程 D. 触发器
答案:C
解析:
更新操作的兼容性保证。
外部程序通常通过存储过程对表进行更新,修改存储过程的逻辑,使其将更新操作分发到分解后的表中,这样外部程序的调用无需修改,对应选项 C。
第 62 题
题目:全局概念层是分布式数据库的整体抽象,包含了系统中全部数据的特性和逻辑结构,从其分布透明特性来说,包含的三种模式描述信息中不包括(62)模式。
A. 全局概念 B. 分片 C. 分配 D. 访问
答案:D
解析:
分布式数据库的模式结构。
分布式数据库的分布透明性相关模式包括:
全局概念模式:描述整体逻辑结构。
分片模式:描述数据的分片方式。
分配模式:描述分片的物理分配位置。
不包括访问模式,对应选项 D。
第 63 题
题目:以下 NoSQL 数据库中,(63)是一种高性能的分布式内存对象缓存数据库,通过缓存数据库查询结果,减少数据库访问次数,以提高动态 Web 应用的速度,提高可扩展性。
A.MongoDB
B.Memcached
C.Neo4j
D.Hbase
答案:B
解析:
NoSQL 数据库的类型。
选项 A:MongoDB 是文档型 NoSQL 数据库。
选项 B:Memcached 是分布式内存缓存数据库,用于缓存查询结果,提高 Web 应用性能,符合题干要求。
选项 C:Neo4j 是图型 NoSQL 数据库。
选项 D:Hbase 是列族型 NoSQL 数据库。
第 64 题
题目:聚类的典型应用不包括(64)。
A. 商务应用中,帮助市场分析人员发现不同的客户群
B. 对 WEB 上的文档进行分类
C. 分析 WEB 日志数据,发现相同的用户访问模式
D. 根据以往病人的特征,对新来的病人进行诊断
答案:D
解析:
聚类的应用场景。
聚类是无监督学习,将相似的数据分组,典型应用包括客户分群、文档分类、用户访问模式分析等。选项 D 是分类任务(监督学习),根据已知类别对新数据进行分类,不属于聚类应用。
第 65 题
题目:(65)是一个典型的聚类算法。
A. 决策树 B.Apriori C.k-means D.SVM
答案:C
解析:
机器学习算法分类。
选项 A:决策树是分类算法。
选项 B:Apriori 是关联规则挖掘算法。
选项 C:k-means 是典型的聚类算法,基于距离进行分组。
选项 D:SVM(支持向量机)是分类算法。
第 66 题
题目:默认情况下,FTP 服务器的控制端口为(66)。
A. 大于 1024 的端口 B.20 C.80 D.21
答案:D
解析:
FTP 协议的端口。
FTP 使用两个端口,控制端口默认是 21,用于传输命令;数据端口默认是 20,用于传输数据,对应选项 D。
第 67 题
题目:上传文件时的端口为(67)。
A. 大于 1024 的端口 B.20 C.80 D.21
答案:B
解析:
FTP 的数据端口。
在主动模式下,FTP 的数据传输使用 20 端口,上传和下载都使用该端口,对应选项 B;被动模式下使用大于 1024 的随机端口,但题干未说明被动模式,默认是主动模式。
第 68 题
题目:使用 ping 命令可以进行网络检测,在进行一系列检测时,按照由近及远原则,首先执行的是(68)。
A.ping 默认网关 B.ping 本地 IP C.ping127.0.0.1 D.ping 远程主机
答案:C
解析:
网络检测的顺序。
按照由近及远的原则,首先检测本地回环地址 127.0.0.1,确认本地 TCP/IP 协议栈正常;然后 ping 本地 IP,确认网卡正常;接着 ping 默认网关,确认本地网络连接正常;最后 ping 远程主机,确认外部网络连接正常。因此首先执行的是 ping127.0.0.1,对应选项 C。
第 69 题
题目:某 PC 的 Internet 协议属性参数如下图所示,默认网关的 IP 地址是(69)。

A.8.8.8.8
B.202.117.115.3
C.192.168.2.254
D.202.117.115.18
答案:C
解析:
TCP/IP 属性参数。
默认网关是本地网络的出口 IP,通常是局域网路由器的 IP,192.168.2.254 是典型的局域网网关地址,对应选项 C;8.8.8.8 是 Google 的 DNS 服务器,202.117.115.3 和 202.117.115.18 是公网 IP,不是网关。
第 70 题
题目:在下图的 SNMP 配置中,能够响应 Manager2 的 getRequest 请求的是(70)。

A. Agent1 B. Agent2 C. Agent3 D. Agent4
答案:A
解析:
本题考查 SNMP(简单网络管理协议)的社区配置与访问控制逻辑。
SNMP 通过社区字符串(Community String)实现管理站(Manager)与代理(Agent)的身份验证,只有社区字符串匹配的请求才会被响应。
Manager2 的团体名为 public2,图中只有 Agent1 的团体名也是 public2,因此只有 Agent1 会响应 Manager2 的请求。
第 71-75 题
题目:In the fields of physical security and information security, access control is the selective restriction of access to a place or other resource. The act of accessing may mean consuming,entering, or using. Permission to access a resource is called authorization(授权).
An access control mechanism(71)between a user (or a process executing on behalf of a user) and system resources, such as applications, operating systems, firewalls; routers, files,and databases. The system must first authenticate(验证)a user seeking access. Typically the authentication function determines whether the user is(72)to access the system at all.
Then the access control function determines if the specific requested access by this user is permitted. A security administrator maintains an authorization database that specifies what type of access to which resources is allowed for this user. The access control function consults this database to determine whether to(73)access. An auditing function monitors and keeps a record of user accesses to system resources.
In practice, a number of(74)may cooperatively share the access control function. All Operating systems have at least a rudimentary(基本的).and in many cases a quite robust, access control component. Add-on security packages can add to the(75)access control capabilities of the OS. Particular applications .or utilities, such as a database management system, also incorporate access control functions. External devices, such as firewalls, can also provide access control services .
(71) A.cooperates B.coordinates C.connects D.mediates
(72) A.denied B.permitted C.prohibited D.rejected
(73) A.open B.monitor C.grant D.seek
(74) A.components B.users C.mechanisms D.algorithms
(75) A.remote B.native C.controlled D.automated
答案:(71) D;(72) B;(73) C;(74) A;(75) B
解析:
本题考查信息安全领域中访问控制机制的核心概念,逐题解析如下:
第 (71) 题:解题思路:空格处需要描述访问控制机制的作用,它是用户 / 进程与系统资源之间的 "中介",负责管控两者的交互。选项 D.mediates(调解、中介)符合语义。
第 (72) 题:解题思路:身份验证(authentication)的作用是判断用户是否 "被允许" 进入系统,选项 B.permitted(允许)符合逻辑。
第 (73) 题:解题思路:访问控制功能查询授权数据库后,需要决定是否 "授予" 用户访问权限,选项 C.grant(授予)符合语义。
第 (74) 题:解题思路:下文提到操作系统、附加安全包、数据库系统、防火墙等都是实现访问控制的组成部分,因此空格处应填 components(组件),选项 A 正确。
第 (75) 题:解题思路:附加安全包是对操作系统 "原生" 访问控制能力的补充,选项 B.native(原生的、内置的)符合语义。
希望这份详细的真题解析能为你的备考之路提供扎实的帮助。技术学习道阻且长,保持思考和练习是关键。如果在数据库或其他 计算机基础 知识的学习过程中有任何疑问,欢迎来 云栈社区 与大家一同探讨交流。