关于大模型强化学习,网上已经有太多的硬核推导。但这篇不一样。我会用最直白的大白话和逻辑图,带你彻底搞懂 PPO、DPO 和 DeepSeek 背后的 GRPO 到底是怎么回事。
为什么SFT之后模型就能用了,还要上强化学习?
因为 SFT 只是模仿。模型知道“1+1=2”,也知道“一加一等于二”。但是 SFT 无法告诉模型哪一个更好。
这个时候强化学习的作用就是让模型知道前面的 1+1=2 是更符合我们人类从小学习数学的阅读习惯,大部分情况下是比后面的好的。
它不仅是为了校准模型的回答格式(比如偏好简洁的“1+1=2”),更关键的是要教会模型在面对危险提问时懂得拒绝(安全对齐),以及在面对复杂逻辑时学会推理深度(DeepSeek-R1)。
SFT 的局限:它是个概率选择机
SFT 的本质是 Next Token Prediction 预测下一个 token。它的训练目标是模仿拟合你喂给模型的训练数据及其分布。
举个例子,你问模型一道数学题,想要专业风格的回答:“求解方程:3x+5=20”。
在 SFT 阶段,因为模型在预训练数据里见过各种各样的网页、教材和作业,它脑子里可能会蹦出好几条路,而且它觉得这些都是对的:
路径 A(直接蹦答案):“答案是 x=5。”(概率 30%。这种回答虽然对,但对于复杂问题容易算错,且无法检查。)
路径 B(口语化唠嗑):“嗯,我们可以先把5移到右边,变成15,然后再除以3,就算出来了,是5。”(概率 30%。这种回答虽然逻辑对,但太口语了,缺乏专业性。)
路径 C(标准步骤):“解:移项得:3x=20-5,合并得:3x=15,解得:x=5。"(概率 30%。这是我们最想要的,但 SFT 并不认为它比前两个更高贵。)
路径 D(Python 代码):
print((20-5)/3)
(概率 10%。也没错,但如果我是要数学辅导,这就不合适。)
对 SFT 模型来说,这四个答案都是“正确答案”,它只是根据概率在掷骰子。
强化学习的作用:注入偏好
这时候,强化学习(RL)就登场了。它的作用不再是让模型学会算数(预训练完就会),而是对 SFT 产生的概率分布进行“挤压”和“拉伸”。
强化学习通过奖励机制(Reward Model)告诉模型:“嘿,虽然路径 A 和 B 也没算错,但我给路径 C 打 99 分!下次再遇到这种题,把路径 C(分步骤推理)的概率给我拉满,把直接蹦答案的还有说外语解题的回答概率给我压低!”
这就是为什么现在的模型(如DeepSeek-R1)不仅仅是“算出答案”,而是学会了展示“思考过程”——这正是 RLHF/RL 在背后施加的魔法。
再强调一遍:RL 的本质是对齐你想要的意图
意思是强化学习并不是非要教出一个死板的老学究。
假如这次你的产品定位不是数学辅导软件,而是一个温柔的教学老师或者是一个语音助理,你完全不需要那种冷冰冰的标准步骤(路径 C)。
这时候,你只需要修改奖励函数(Reward Function)的规则:“嘿,这次我们要亲切一点!给路径 B(口语化唠嗑)打 100 分,那个写公式的路径 C 太严肃了,给它 0 分!”
经过这轮训练,模型就会立刻调转车头,明白:“哦!原来训练师这次想要这种风格!”,从而把唠嗑模式的概率拉满。
这就是强化学习的灵活性:它不定义什么是绝对的好,它只负责把模型变成你心中想要的样子。
OK 下面就正式讲解这三个 O 了。
PPO:不计成本的特训班
PPO (Proximal Policy Optimization) 是 ChatGPT 早期版本的功臣。虽然现在大家嫌弃它显存占用大、训练慢,但它是理解强化学习的基石。
在 PPO 的架构里,为了教好这一个模型,我们需要同时维护四个模型。
没错,是四个,这就是为什么它只有 OpenAI 等厂家玩得起的原因(占显存贵啊,以及用了好多个数据外包团队造高质量 RL 数据)。
接下来先介绍一下这四个模型分别是什么,用来干嘛的,再看图理解:
I. Actor(需更新参数):
- 角色:主角。这就是我们正在训练、希望它变符合我们预期的那个模型。
- 任务:负责根据问题生成回答。
II. Reference Model 参考模型(冻结参数):
- 角色:SFT 后的原始模型副本。
- 任务:它不参与打分,而是作为约束。它时刻提醒 Actor:“你别为了拿高分就乱说话,要保持原本的语言能力,不要偏离太远(计算 KL 散度)。”
III. Reward Model 奖励模型(冻结参数):
- 一般用什么:通常直接拿 SFT 训练好的模型(比如 Llama-3-8B-Instruct 或 Qwen3-14B-Instruct)来改。
- 角色:代表人类偏好的判卷人。
- 任务:它是个哑巴,平时不说话,只有等 Actor 把整句话写完了,它才给出一个最终分数(比如 8.0 分)。
IV. Critic 评判模型(更新参数):
- 一般用什么:和 Reward Model 一样,通常也是由 Actor 同款的 Transformer 改出来的(比如 Actor 是 7B,Critic 通常也是 7B)。
- 维度的大不同:Critic 的独特之处在于它输出的形状,它的最终输出是[Batch_Size, Seq_Len, 1],也就是 Actor 的每一个token都会有一个当下分。
举个例子结合理解:四个模型是如何配合写出一封“拒绝信”的?
这大概是初学者最大的疑惑:Reward Model 既然能打分,还要 Critic 干嘛?为了彻底理解这四个模型是如何配合的,我们来模拟一次 PPO 的训练过程。
题目 (Prompt):“请帮我给重要客户写一封邮件,礼貌地解释发货延迟的原因。”
假设模型此次的回答是:“尊敬的王总,关于订单延迟我们深表歉意,原因是我完全忘了这事。”
第一阶段:Actor 开始推理
Actor 开始一个字一个字地推理:
第 1-5 步: "尊敬的王总,关于订单延迟..."
- Critic (评判模型) 看着前几个字,心里想:“嗯,称呼得体,直奔主题,这种开头通常能拿高分。”
- Critic 打分:[5.0, 5.2, 5.5, 5.8, 6.0] (分数稳步上升)
第 6-10 步: "...我们深表歉意,原因是..."
- Critic (评判模型):“态度诚恳,接下来只要给出一个合理的理由(比如物流积压),这题就稳了。”
- Critic 打分:[6.2, 6.5, 6.7, 6.8, 7.0] (7 分对 5 分,优势在我)
第 11-12 步 (突然崩坏): "...我完全忘了这事。"
- Critic (评判模型) 瞬间崩溃:“什么?!这种大实话能跟客户说吗?这属于极度不专业!要扣大分!”
- Critic 打分:[7.0, -8.0, -8.2, ...] (📉 分数暴跌!)
第二阶段:Reference Model 默默注视
Ref Model 全程也在计算概率。
它发现 Actor 在输出“我完全忘了”这几个字时,概率和自己(SFT 模型)差别极大。因为 SFT 模型受过职业训练,在这个语境下通常会说“由于物流不可抗力”。
Ref Model 的作用:虽然它不说话,但它计算出的KL 散度瞬间飙升。这意味着 Actor 这一步不仅会被扣分,还会因为偏离职业人设被额外罚分。
第三阶段:Reward Model 秋后算账
Reward Model (奖励模型) 终于拿到整个模型回复了:“尊敬的王总,关于订单延迟我们深表歉意,原因是…我完全忘了这事儿。”
RM 的动作:读完最后,判定为严重公关事故,直接打低分。
RM 打分 (Reward):-10 分 (最终标量)。
第四阶段:PPO 怎么更新?(Critic 与 Reward 的区分)
在复盘(Backpropagation)的时候:
对于前半段(“尊敬的王总…”):Reward Model 给了 -10 分(总分很差)。 但 Critic 会站出来帮 Actor 辩护:“R 老师,这学生前 10 个字写得挺好的啊!那时候我预测能得 7 分呢,是好苗子!”
结论:Actor 不需要修改前 10 个字的策略,那是好动作,需要保留。
对于后半段(“我完全忘了…”):Critic 指着第 11 步说:“就是从这个‘我’字开始,我的预测分从 7 分直接跳水到了 -8 分!”
结论:Advantage (优势) = 实际得分(-10) - 预期得分(7) = -17。
最终结果:模型会受到一个巨大的负向梯度,尽量压低在“原因是…”后面接“我完全忘了”的概率。下次它就会学乖,改成接“由于物流高峰”了。
这就是 Critic 的意义:它像心电图一样精准定位了“病情”发生的那一瞬间,而不是让 Actor 对着一张 0 分的卷子一脸懵逼,不知道自己前面写的那句“尊敬的王总”到底是对还是错。
PPO 流程图以及公式
有了上面的铺垫,这个时候再上流程图和公式就不会一脸懵逼了。

忘了之前在哪里看过的,说一本书或者一篇文章,只要加一条数学公式就会失去 90% 的读者,再加一条就是继续损失剩下的 90%。
但没办法,上面讲得这么清楚了,不结合公式还是不够完整,数学公式就是我上面用文字描述这个过程的最简约表示。
我尽量用大白话给各位解释清楚。当然如果不感兴趣就可以直接下拉到 DPO 章节。
PPO 的核心公式其实就是个分段函数。它的目标是最大化以下内容:

1. 首先是 r_t(θ)(比率 Ratio):

π_θ:当前正在更新的 Actor 模型(新策略)。
π_θold:更新这一步之前的 Actor 模型(旧策略)。注意:这里不是 Ref Model 的输出,还是 Actor 模型,只不过是上一轮没更新梯度前的 Actor。
作用:用来衡量参数更新后,产生当前动作的概率变成了原来的多少。
2. A_t(优势 Advantage):

这就是 Critic 和 Reward Model 联手算出来的那个数。正数(+)表示是好动作,负数(-)表示是坏动作。代表梯度更新方向。
公式不解释了,总之它的作用就是算差值,用来衡量你刚才那一步操作,到底是比我预期的更好(A 为正),还是更差(A 为负),从而决定对参数是该奖励还是惩罚。
3. ϵ(限制范围 Epsilon):通常设为 0.2。意思是允许你变动 20%。
4. clip函数:clip(r_t(θ),1-ϵ,1+ϵ))
clip 函数的核心作用是截断。它将新旧策略的概率比率 r 强制限制在 [1−ϵ,1+ϵ] 这个区间内。
这意味着我们只允许模型在旧策略的基础上进行小步调整,防止模型因为一次性更新幅度过大(步子迈太大)而导致训练崩溃(扯着蛋),从而保证了强化学习过程的稳定性。
代码解释:
# 所谓的截断,其实就是把比率 r 强行锁在 [0.8, 1.2] 之间(假设 epsilon=0.2)
r_clipped = min(r, 1.2) # 上限:就算你进步神速,最多也只算你进步了 20%
r_clipped = max(r_clipped, 0.8) # 下限:就算你退步很大,最多也只算你退步了 20%
# 在实际 PyTorch 代码中,通常直接用一句话搞定:
r_clipped = torch.clamp(r, 0.8, 1.2)
5. 大写的 E
在数学公式里, E 代表数学期望(Expectation)。说这么复杂,其实在写代码的时候,它的意思极其简单粗暴,就是mean()求一下平均值。
PPO 的流程就是不断重复 “旧模型采样 -> 算优势 -> 新模型学习 -> 强制截断防更新太多” 的过程。它用最简单的数学技巧(Clip),解决了强化学习中最难的稳定性问题。
现在推荐再翻上去看看 PPO 流程图,应该理解会更深。
PPO 的痛点
太™奢侈了。你想想要训练一个 70B 的 Actor,训练过程中你需要同时把 Actor、Ref Model、Reward Model 和 Critic 这四个 70B 全部塞进显卡里。
这意味着,训练一个 70B 的模型,你实际上需要准备近乎 >4 倍的显存资源(这还没算上 Actor 和 Critic 训练所需的梯度、优化器状态,以及所有模型在推理时产生的激活值这个大头)。
这种四倍带来的恐怖硬件门槛和复杂的工程维护成本,直接把绝大多数普通实验室和中小公司拒之门外,只有那几个钞能力公司才玩得转。
DPO:穷哥们的福音
DPO(Direct Preference Optimization)说白了就是为了省显存省算力省钱,把 PPO 优化后的产物。
斯坦福的研究人员发现:其实我们不需要 Critic,也不需要显式的 Reward Model。
既然我们想要的是“让好答案的概率变大,坏答案的概率变小”,那为什么不直接对着概率下手呢?
最大的变革:省硬件
DPO 最大的贡献在于它把 PPO 里的 Reward Model 和 Critic 全都干掉了。 现在,你只需要维护两个模型:
- Actor(还是需要训练):负责学习。
- Ref Model(依旧保持冻结):负责当参照物(防止学偏)。
哈,现在知道为什么要大力气的讲解 PPO 了吧,Actor 和 Ref Model 都一样的意思。都是一个师傅教的,要破招你也得先学辟邪剑法→ →。
DPO 的核心方法:没有对比就没有伤害
DPO 不再给单个答案打分,而是拿出一对答案:
- Chosen(好答案 y_w)
- Rejected(坏答案 y_l)
它的目标非常简单粗暴:让模型生成 y_w 的概率,远远大于生成 y_l 的概率。

这里又有个数学公式,别怕,看结论就行。DPO 直接利用概率的比值来作为隐式奖励:

也就就是:最大化(好答案相对于基座模型的提升量 - 坏答案相对于基座模型的提升量)。
OK继续公式解释,不想看的跳到 GRPO 章节就行。
(1)看那个比率 π_θ/π_ref
这的意思和 PPO 里一样:“对于这个答案,现在的我(Actor)比起刚出厂的我(Ref),是更想说了,还是更不想说了?”
(2)β
这是一个超参数(通常设为 0.1),你可以把它理解为严厉程度。
- β 越大,模型就越保守,稍微偏离 Ref Model 一点点,算出来的数值就会被放大,导致巨大的惩罚(不敢乱改)。
- β 越小,模型就越放飞自我,允许偏离 Ref Model 更多。
(3)看括号里的减法

左边:对于好答案 y_w,我希望现在的我比原来的我概率更高(数值越大越好)。
右边:对于坏答案 y_l,我希望现在的我比原来的我概率更低(数值越小越好)。
中间的减号:好答案的优势 - 坏答案的优势 = 差距。
(4)σ(Sigmoid) 函数
括号里算出来的差距是一个没有边界的数字(可能是 -0.1,也可能是 +10000,甚至是 +98456782645872634856237)。但是,后面的 Loss 函数只接受 0% 到 100% 的概率。
这时候就需要 Sigmoid 函数登场了,它的公式是:

但你不用记公式,只需要记住它是一个映射函数:把 σ(x)的值映射到[0, 1]之间。
(5)翻译成人话:公式背后的“拔河”逻辑
别被这四个数学符号吓到,它们其实构成了 DPO 的三道关卡。首先,括号里的减法就像一场拔河:我们希望好答案的分数越高越好,坏答案的分数越低越好(甚至是负无穷),这样两者算出来的差距就会极大。
接着,Sigmoid 函数 (σ)充当裁判,负责把这个分差转化成“好答案的胜率”(范围 0-1)。如果分差很大,胜率就接近 100%;如果分差很小或为负,胜率就惨不忍睹。
最后,最外层的 -log 是机器学习中经典的负对数似然(Negative Log Likelihood)。
它的作用是将概率转化为优化所需的损失值(Loss):如果裁判判定胜率接近 1,Loss 就趋近于 0,模型参数保持稳定;但如果胜率很低(接近 0),-log 会让 Loss 数值瞬间激增趋向无穷大。
这种指数级的惩罚机制会产生巨大的梯度,驱动模型剧烈调整参数。
这就是 DPO 的核心逻辑:通过极端的损失惩罚,逼迫模型在概率空间里把好答案和坏答案彻底拉开距离,从而在不用 Reward Model 的情况下实现直接对齐。
TIP:为什么公式最前面要加一个负号?因为 log() 函数里面的值越大,最终的结果也越大,然后我们的优化器只用来算最小化 Loss 的,最大变最小加一个负号就搞定。

为什么 DPO 要同时看 Rejected?只学好答案不行吗?
如果你只告诉模型“学这个好的”,模型可能会偷懒——它会简单粗暴地把所有看起来像人话的句子概率都提高,或者找到一种讨巧的通解(比如只学会了说漂亮的车轱辘话,但不管逻辑对错)。
DPO 的本质是对比学习。Rejected 答案(坏答案)通常是模型很容易犯的错(比如一本正经地胡说八道)。DPO 通过负向梯度告诉模型:
“看清楚了!这种语气虽然很像你平时说话的风格,但是内容是错的!下次遇到这种情况,把这句话的概率给我狠狠压下去!”
只有同时看到了“正解”和“错误”,模型才能真正学会分辨是非,而不仅仅是模仿语气。
DPO 为什么要用同分布数据?
在搞 DPO 时,很多人会踩一个坑:拿 GPT-5 的数据去 DPO 一个 7B 的小模型,结果发现效果并不好。
为什么?这里就涉及到一个核心概念:同分布(On-Policy / Near-Policy)。通俗点说,DPO 的数据最好是自己改自己的错题集。
别人的错题(分布差异大):如果你拿 Gemini3 Pro 生成的“坏答案”给 7B 小模型看,小模型可能会一脸懵逼:“这句坏答案写得文采飞扬、逻辑复杂,有没可能虽然它是错的,但我本来就写不出来啊?”
既然模型本来生成这句话的概率就极低,那你再去压低它的概率,对模型来说就是无效补课,梯度几乎为 0。
自己的错题(同分布):只有拿模型自己(或者能力相近的模型)生成的坏答案,它才会恍然大悟:“哎呀,这确实是我经常忍不住想说的那句蠢话!原来这是错的,我改!”
所以,DPO 想要效果好,最好是用当前模型去采样数据,然后让人类(或强模型)去标注好坏。这种量身定做的错题集,才是提分的关键。
老样子,看完这里就翻上去看 DPO 流程图,此时理解会更深。
DPO 的痛点
天下没有免费的午餐,它DPO的成本实际上全部转移到了数据构造这个隐形大坑上。
你必须准备极其高质量的偏好对数据(Chosen vs Rejected),这远比单纯收集 SFT 语料要难得多:因为 DPO 对数据噪声极度敏感,一旦你的数据里“好答案”其实没那么好。
或者“坏答案”和“好答案”差距不明显(甚至标注人员手滑标反了),DPO 这种强力算法就会立刻把模型带到沟里去。
可以说,PPO 考验的是你的显卡财力,而 DPO 考验的是你的数据清洗能力。
GRPO:DeepSeek 的潘朵拉盒子
好了,终于到了2025年初大火的 GRPO(Group Relative Policy Optimization)。这是 DeepSeek-R1 能够在此刻惊坐全球的关键技术。
如果说 PPO 是请私教,DPO 是做改错本,那 GRPO 就是内部赛马机制。
(1)告别 Critic,拥抱 Group
DeepSeek 团队心想:PPO 的 Critic 太贵,DPO 需要配对数据(还要标注哪个好哪个坏)太麻烦。有没有一种既省钱又不用搞配对的方法?
GRPO 的逻辑是:我不要绝对的裁判,我要相对的排名。
它的操作流程是这样的:
1. 输入问题:比如“9.11 和 9.8 哪个大?”
2. 群发 (Sampling):让模型一口气生成一组答案,比如 8 个。
有的回答:9.11 大。
有的回答:9.8 大。
有的回答:一样大。
……
3. 对于理科题(Math/Code):用规则硬解
这是 DeepSeek-R1 最擅长的部分:
- 规则打分器 (Rule-based Reward):不需要神经网络,写个脚本就行。
- 数学:答案是 9.8 就是 1 分,否则 0 分。
- 代码:能通过 Test Case 就是 1 分,报错就是 0 分。
- 特点:快、准、狠。
4. 对于文科题(Text):请外援打分
如果是写摘要、写小说这种没有标准答案的任务,脚本没法判断对错,怎么办?
- 模型打分器 (Model-based Reward):这时候就可以直接调用一个已经训练好的 Reward Model(或者用更强的模型如 GPT-5)来当裁判。
- 它会读一遍这 8 个回答,然后给每个回答打个分(比如 0.9, 0.6, 0.3)。
(2)组内归一化:全靠同行衬托
GRPO 不关心你考了多少分,只关心你在这一组 8 个答案里排第几。
它计算每个答案的优势(Advantage)是基于组内平均值的:

如果这一组里,大家都很烂(都得 0 分),你的 A_i 就是 0,模型参数基本不动。
如果这一组里,7 个都错了,就你 1 个对了。那你的 A_i 会非常巨大(正向),其他 7 个是负向。
模型更新的逻辑变成了:“为了让这一组的平均分变高,我要拼命提高那个高分答案的概率,同时把那些拖后腿的低分答案的概率狠狠踩下去!”
(3)GRPO 的目标公式
有了上面的优势 A_i,GRPO 实际上就变成了一个省去了 Critic 模型的 PPO。
它的最终优化目标公式如下,是不是看着很眼熟?

别怕,都到这了,我们继续拆解这个公式,它其实只做了三件事:
1. 平均化(1/G Σ)
不再是盯着一个数据点看,而是把这一组(Group)里生成的 G 个样本放在一起看。通过最大化这一组的综合表现,来优化策略。
2. 这里的 PPO 遗产:Clipping(截断)
DeepSeek 的研究员非常清醒,他们知道强化学习最怕的就是Roller Coaster(过山车效应)。
如果某一次模型运气好猜对了一次,我们不能让它立刻把这个策略奉为真理,一下走太深。
所以这里保留了 PPO 的 clip 机制(也就是公式里的 min 和 clip 部分):
- 限制策略更新的幅度通常在 (1-ϵ, 1+ϵ) 之间(熟不熟悉?!)。
- 确保模型是小步快跑,而不是从悬崖上跳下去。
3. 这里的 DPO 遗产:KL 散度(Regularization)
虽然 GRPO 没有 Critic 模型,但它依然保留了 Reference Model 的 KL 散度约束。公式最后的 -βKL 就是为了提醒模型:
“你可以创新,可以去探索解题的新路径,但你的语言风格、基本语法不能偏离原本锚定的模型太远。你可以内部赛马,可以创新,但还是不能大步扯着蛋。”
4. 总结一下 GRPO 的公式逻辑:
“大家(Group)一起上,根据刚才算出来的相对排名(Advantage),好的奖励、差的惩罚。但是!奖励和惩罚都别太激动(Clip),而且千万别把原来的语言底子给丢了(KL)。”

这个时候再看流程图,应该就很清晰了。
为什么 GRPO 这么强?
省显存:它彻底扔掉了 Critic 模型(和 Actor 一样大的评判模型)。这意味着你只需要训练 Actor 自身这一个模型。
相比 PPO 那种需要同时把 Actor 和 Critic 塞进显存里进行梯度更新的富贵仗,GRPO 的显存占用直接砍半还多。
这对于像 DeepSeek 这种 671B 的巨型模型来说,省下的钱都是真金白银。
基线更稳:PPO 的 Critic 还需要训练,有时候 Critic 自己都看不准。而 GRPO 的基线是当下生成的这一组的平均分,这是最真实的当前水平。
适合推理:对于数学和代码这种非黑即白的任务,只要生成的一组里有一个“开窍”了做对了,GRPO 就能敏锐地捕捉到这个正向信号,并迅速放大。
GRPO 的痛点
GRPO 虽然被称为“穷哥们的福音 Pro 版”,但它也不是万能的,它其实是用时间换空间。
1. 采样成本极高 (High Inference Cost)
虽然你省去了 Critic 模型的显存,但训练过程中 Actor 的负担变得超级重。
PPO 可能只需要生成 1 个答案就开始算梯度了,而 GRPO 每一轮训练都必须针对同一个问题生成 G 组(比如 8 个或 16 个)长答案。
这就好比以前是“写完一份卷子就改”,现在是“必须一口气写完 16 份卷子,才能算一次分”。
这会导致训练时的推理等待时间变得非常长,虽然显存没爆,但训练时长可能会被拉长。
2. 对冷启动要求高
GRPO 的核心逻辑是矮子里拔将军。但如果你的 SFT 模型太烂,生成的 8 个答案全都是错的(全是 0 分),那怎么办?
- 平均分是 0,标准差是 0。
- 公式里的 A_i 就算不出来(或者没有意义)。
- 模型这一步就学不到任何东西。
所以,GRPO 非常依赖 SFT 阶段模型就已经具备了一定的答对率(比如至少要有 10% 的概率蒙对),如果模型基础太差,GRPO 就会原地空转。
怎么解决?这里就看你模型 Mid-training 了(结尾有彩蛋)。
3. 奖励函数的难设计性
DeepSeek-R1 的成功主要集中在数学和代码领域,因为这两者的奖励非常客观(对就是对,错就是错)。
一旦切换到“写创意”、“写文案”这种主观领域,GRPO 就又得依赖一个额外的 Reward Model 来打分。
这时候,Reward Model 如果不准(比如甚至不如 Actor 聪明),那么 GRPO 就会陷入盲人骑瞎马的困境,甚至可能因为过度优化这一组的排名,导致模型开始钻牛角尖(Reward Hacking)。
GRPO 的进阶:DeepSeek-V3.2 的稳定魔改
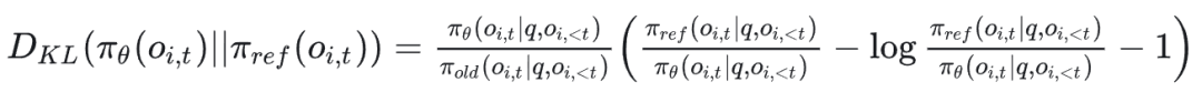
GRPO 虽然牛,但当你把 RL 算力推到预训练的 10% 以上时,问题就来了:梯度容易炸,策略偏移像脱缰野马,MoE 模型还爱抽风。
DeepSeek 团队在 V3.2 里对 GRPO 动了手术,加了四个补丁,让它在巨型规模下稳如老狗。这些优化是针对实际痛点来的。下面我们一个一个拆。
1. 无偏 KL 估计:别让梯度炸锅
标准 GRPO 的 KL 散度(上面有写)它有个毛病:如果当前策略 π_θ 对某个词的概率超级低(远低于参考模型 π_ref),梯度就会像气球一样炸开,导致训练崩盘。
DeepSeek 的解法是加个重要性采样比率(用旧策略 π_old 修正),让梯度变成无偏的。
公式是这样的:

说人话就是外面的比率(π_θ / π_old)像个保险丝,把里面的分母(1/π_θ)约掉,防止梯度无限大。
结果?训练更稳,尤其在数学这种极端分布的任务上,甚至可以把 KL 罚项调弱或干脆去掉,还能提性能。
2. Off-Policy 序列掩码:别学前任的错
大规模 RL 里,数据生成(用旧策略 π_old)和训练(用当前 π_θ)往往脱节——推理引擎和训练框架精度不一样,一次生成大批量数据再分 mini-batch 更新,就容易 off-policy(教非所学)。
DeepSeek 加了个掩码 M,只针对“坏样本且偏移太大”的序列捂眼睛。
公式里的 GRPO Loss 改成:

其中掩码:

还是说人话:如果这个序列的分数负(坏样本),且当前模型觉得它太离谱(KL > δ),就直接忽略。
直觉?好样本尽管学,坏样本如果是旧策略犯的错,你本来就不爱犯,就别费劲纠错了——这会引入噪声。结果:对 off-policy 更包容,训练不抖了。
3. Keep Routing:MoE 别抽风
MoE 模型(混合专家)在推理时挑专家路由,但训练时参数一变,路由就可能跳槽,导致训的不是用的。
DeepSeek 的招:采样时记下路由路径,训练时强制锁死,确保训谁用谁。这招从 V3-0324 就开始用了,是 MoE RL 的定心丸。
4. Keep Sampling Mask:Top-p 别作妖
用 top-p/top-k 采样时,推理会砍掉低概率词尾,但训练 KL 算全词表,就违反重要性采样了。
DeepSeek 的解:采样时记下掩码,训练时同步套上,确保动作空间一致。结果:语言一致性稳了,采样质量不崩。
这些魔改加起来,让 DeepSeek-V3.2 的 RL 能放心烧算力,推理能力直追 GPT-5。核心哲学:稳定性大于一切,别让小偏差酿大祸。
后记:PO 家族还在进化
强化学习的PO家族还在增加,就在大家还在消化 GRPO 的时候,工业界和学术界又针对它的痛点搞出了新花样:
1. DAPO:GRPO 的补丁包
DAPO (Dynamic sAmpling Policy Optimization) 的出现是因为有人发现 GRPO 有点浪费。
在实际训练里,GRPO 有时候因为 Clip设置得太死板,或者长文本的梯度被稀释了,导致很多原本有用的训练信号被扔掉了。
DAPO 的作用就是做一个精打细算的管家,通过动态调整采样策略,把这些被浪费的信号重新捡回来,让模型学得更有效率。
2. GSPO:MoE 模型的镇静剂
GSPO(Group Sequence Policy Optimization)主要是为了解决 MoE(混合专家模型)架构水土不服的问题。
研究人员发现,用 GRPO 训练 MoE 时,因为它是盯着每一个 Token 算比率,容易导致训练过程极其不稳定(方差爆炸)。
GSPO 索性就把格局打开,不再纠结单个 Token 的得失,而是直接看整条序列(Sequence) 的表现。这种抓大放小的策略,成功治好了 MoE 训练时的狂躁症。
3. SAPO:Qwen 团队的蓄意轰拳
这是 Qwen 团队针对 Qwen3 系列提出的 SAPO (Soft Adaptive Policy Optimization)。
它觉得 PPO 和 GRPO 用的那种硬截断(Hard Clip,超过 20% 就一刀切)太暴力了。
SAPO 提出了一种“软门控”(Soft Gating),用平滑的曲线代替生硬的墙,让梯度衰减得更自然。
同时它还搞了个双标对待(非对称温度):对好答案宽容,对坏答案严厉。据说在 Qwen3 的数学和多模态任务上,比 GRPO 更稳更强。
总结一下
RL 的进化速度比我写文章的速度还快。但万变不离其宗,无论是 P、D、G 还是 S,核心逻辑依然是在“怎么更稳、更省钱地让模型学会人类的偏好”这件事上不断微调。
掌握了 PPO 和 GRPO 的核心思想,后面这些新出的 X-PO 你一眼就能看懂它的思想。
彩蛋
在 PPO/GRPO 之前,大模型都在偷偷做 Mid-training?
细心的同学可能发现了,无论是 Llama 技术报告中提到的 “Annealing”(退火阶段),还是 DeepSeek-V3/R1 强调的 “Cold Start”(冷启动阶段),大模型在进入 SFT 和强化学习之前,似乎都多了一个神秘的步骤。
业界通常称之为 Mid-training。为什么大家不直接拿预训练模型去跑 RL?因为没学会走之前,是没法通过强化学习教它跑的。
Mid-training 并不是单纯的过渡,它是连接“读万卷书”(Pre-train)和“行万里路”(RL)的关键桥梁:
1. 机制视角:目标不变,数据质变
Mid-training 的核心训练目标依然是 Next Token Prediction(预测下一个词),这点和预训练(Stage 1)一样。
但关键变量在于数据:
- Stage 1 是广撒网式的海量数据(Web Crawl),目的是覆盖语言统计规律,说人话就是灌水,让模型学会说话。
- Mid-training 则是通过清洗、合成、精选,将数据变成了高密度的教科书级语料。
- 在这一阶段,模型不再是漫无目的地看网页,而是开始大量阅读高质量的合成数据、STEM(理工科)习题。在 Stage 1 是在学语文,在 Stage 2 则是在学逻辑。
2. 梯度视角:从抗噪到提纯
Llama 的论文中专门提到了这个阶段对梯度的影响。 从梯度噪声尺度 (Gradient Noise Scale) 的角度看:
- Stage 1 的数据量大但噪声极其高,梯度方向是发散的,模型在嘈杂的集市里艰难辨认规律。
- Stage 2 的数据经过了严苛的清洗,数据质量极高(High Signal)。 这就像炼丹到了最后一步,火候(学习率)调小,原料(数据)极纯。规整的数据让梯度更新方向高度一致,使得模型能够快速收敛到更优的局部极小值。
3. 能力视角:为 RL 打地基
这与我们要讲的 GRPO 息息相关:
- Pre-train 追求的是广度,模型记住了“1+1=2”,也记住了“地球是圆的”。
- Mid-training 追求的是深度推理。通过引入包含思维链(CoT)的合成数据,模型开始学习:“遇到问题 -> 先拆解 -> 再分步计算 -> 最后得出结论” 的模式。
- 为什么要专门做这个? 因为如果模型在进 RL 之前连基本的 CoT(思维链)都写不出来,那 GRPO 就算想奖励它,也采不到正确的样本(全是错的,奖励个寂寞)。Mid-training 就是为了给 RL 提供一个稍微懂点事的 Base Model。
4. 效率视角:长窗口的最佳窗口期
为什么不在一开始就做 128K 甚至 1M 的长文本训练?还不是因为穷。 根据 Attention 机制 O(N)²的复杂度,在 T 量级的 token 上跑超长上下文是烧钱机器。
Mid-training 是做 Context Extension(上下文扩展) 的黄金时段: 此时数据量相对较少(相比几 T 的预训练数据,这里可能只有几百 B),但质量极高。
配合 YaRN 等插值技术,开发者可以在可控的算力成本下,高效地将模型的注意力距离拉长。
如果有什么讲得不对的地方,欢迎评论区指正。