嵌入式Web服务器,即将标准Web服务器移植到嵌入式系统环境中。它依然遵循HTTP协议与客户端通信,提供标准接口。对于访问者而言,与一台嵌入式设备交互,就如同访问任何普通的Web服务一样。

在嵌入式开发实践中,在板卡上部署Web服务器能带来显著的调试便利性。开发者可以通过网页与设备进行交互,即使在设备缺乏物理显示屏的情况下,也能作为一种高效的功能展示与配置方案。
一、核心约束:嵌入式环境的特殊性
嵌入式环境与传统服务器环境存在本质区别,主要体现在以下三个硬性约束上:
约束维度与典型指标
- 内存:8MB ~ 128MB
- CPU:100MHz ~ 1GHz
- 存储:4MB ~ 32MB Flash
传统服务器的设计哲学是“功能全面”与“高可扩展性”,而嵌入式服务器则追求在“够用”的基础上做到“极致精简”。
二、常见嵌入式Web服务器详解
2.1 NGINX
很多人认为NGINX只适用于大型服务器,但事实上,它在高性能嵌入式设备(如智能网关、边缘计算盒子)上表现卓越,尤其适合搭载Cortex-A53/A72等中高端处理器的设备。
NGINX依赖于pthread、zlib等系统库,若目标嵌入式系统未预装,需要进行手动交叉编译和移植。
其架构采用经典的“Master进程 + Worker进程 + 事件驱动”模型,并发处理能力远超Boa等轻量级服务器,但相应的内存和CPU开销也更大。

嵌入式裁剪编译:
通过裁剪非必要模块,编译后的二进制文件可缩小至约350KB。

内存占用优化配置:
通过调整worker进程数、连接数等参数,可进一步降低运行时内存占用。

2.2 Boa
Boa是一款经典的单进程、事件驱动的轻量级Web服务器,曾被视为嵌入式领域的“标配”,其核心优势在于极致小巧(编译后仅几十KB)。不过,它的最后版本发布于2005年,目前已停止维护。
Boa的模型可以比喻为“一个服务员同时接待多位顾客,只处理提出需求的顾客,而非空闲等待”。由于其单线程的特性,在高并发场景下可能出现响应延迟。

使用Boa需要配置boa.conf文件,一个最简配置示例如下:
echo "Port 80
User 0
Group 0
DocumentRoot /var/www
ServerName EmbeddedBoa
CGIPath /bin:/usr/bin:/sbin:/usr/sbin" > boa.conf
设计一个简单的测试网页后,在嵌入式设备上启动Boa服务:

服务成功启动后,在浏览器中输入开发板的IP地址即可访问对应的网页。

Boa适用场景:
- 内存小于32MB的设备(例如某些OpenWrt路由器)。
- 仅需提供静态页面和简单CGI动态交互的场景。
Boa的局限:
- 原生不支持HTTPS。若产品需要加密传输,必须额外集成OpenSSL库,增加了移植和适配的复杂度。
2.3 Thttpd
Thttpd是一款支持单进程或多线程模式的轻量级服务器,核心优势在于静态文件处理速度快且资源占用低(编译后约100KB)。它支持虚拟主机、URL重写等功能,目前仍有少量社区维护。
其独到之处包括:
- 内置URL流量控制功能,可防止大文件下载耗尽带宽。
- 支持IPv6和虚拟主机。
- 代码量仅约6000行,便于进行深度定制。
局限:对动态CGI的支持较弱,且同样不支持HTTPS。
2.4 Mini_httpd
Mini_httpd是一款超轻量级服务器(编译后仅约50KB),支持CGI、SSI以及HTTPS(需集成OpenSSL)。其代码量极少(仅几千行),非常易于理解、修改和移植,适合资源极度受限的场景。
一个典型的启动命令如下:
./mini_httpd -p 8080 -d /www -c "**.cgi" -u root
与Thttpd的简单对比:
| 特性 |
Thttpd |
Mini_httpd |
| 二进制大小 |
~120KB |
~80KB |
| 内存占用 |
~800KB |
~600KB |
| HTTPS |
不支持 |
支持(需OpenSSL) |
2.5 Lighttpd
Lighttpd(常被称为“小灯”)是一款事件驱动的轻量级服务器,核心优势在于功能全面性与资源占用取得了良好平衡(编译后约200KB)。它支持CGI、FastCGI、HTTPS、gzip压缩等,社区活跃度较高。
主要特性:
- 轻量高效:安装包小,运行时内存占用少,非常适合嵌入式系统等资源受限环境,对后端 & 架构中的FastCGI支持尤为出色。
- 功能模块化:通过模块加载功能,可按需启用或禁用,保持核心精简。
- 静态文件服务性能强:能高效处理图片、CSS、JS等静态资源。
Lighttpd与Nginx设计哲学相似(事件驱动、高性能、低消耗),常被一同比较。Lighttpd像专注的“特种兵”,在其擅长的领域(高并发连接、低资源消耗)表现卓越;而Nginx则是功能更全面的“多面手”。

适用场景:
需要PHP或Python等语言支持、相对复杂的Web应用,例如网络摄像头的流媒体管理界面。
配置示例:

2.6 Appweb
Appweb是专为嵌入式环境设计的工业级Web服务器,支持HTTP/2、HTTPS、WebSocket、RESTful API等现代特性。其核心优势在于高稳定性与强大的适配性,不过部分高级功能需要商业授权(开源版已足够大多数嵌入式基础使用)。
核心优势:
- 内置对嵌入式数据库(如SQLite)的支持。
- 提供ESP(嵌入式服务器页面),一种类似JSP的动态页面技术。
- 原生支持TLS 1.3及双向认证,安全性高。
ESP示例(动态生成设备状态页面):

适用场景:
- 对安全性和稳定性要求极高的工业控制系统。
- 需要快速开发复杂交互Web界面的嵌入式项目。
三、综合对比与选型建议
3.1 资源占用对比

3.2 功能特性对比

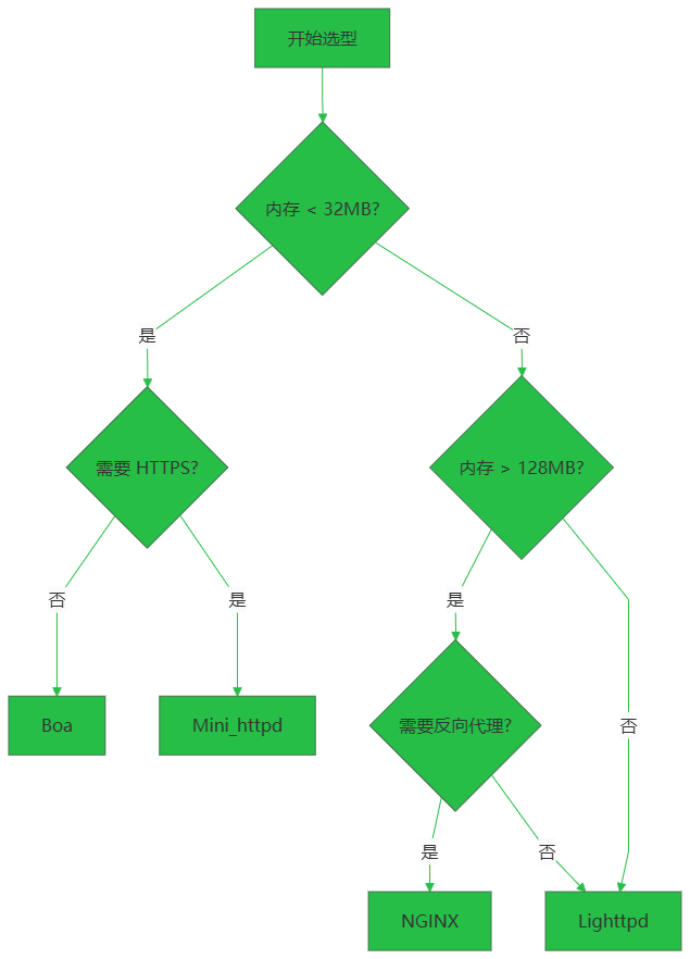
3.3 选型决策树
根据设备资源、功能需求和安全要求,可以参考以下决策流程进行选型:
