
向平静的水池投入石子,涟漪在水面交织,扩散出复杂的信息波纹。这种朴素的物理直觉,正被引入机器学习的前沿领域——量子储层计算(Quantum Reservoir Computing, QRC)。与消耗巨量算力的深度学习不同,量子储层计算巧妙利用量子系统的自然演化,将复杂任务简化为“读出涟漪”的过程。研究表明,其性能的最优解往往不在单纯的有序或彻底的混乱之中,而在于那道微妙的 “混沌边缘” 。本文将探讨量子储层计算的物理内涵,看科学家如何利用量子系统的信息弥散及高维态空间特性,在“记忆”与“处理”的博弈中,找到通往最强算力的混沌边缘“甜点位”。

论文题目:Edge of Quantum Chaos in Quantum Reservoir Computing
论文地址:https://doi.org/10.1103/j2qj-vwcl
发表时间:2026年1月28日
发表期刊:Physical Review Letters
量子储层计算是适用于时间序列问题的一种机器学习框架,其特点是训练和运行成本较低。其核心原理是将输入信号通过一个固定的非线性系统(即“储层”)映射到高维空间,最后仅对高维空间中的矢量做一个线性变换(即“读出层”)作为输出。在机器学习意义上,这个单层的线性变换是唯一需要训练的权重部分。
相比于经典比特,量子比特可以在指数维度增长的 Hilbert 空间中编码信息,从而提供更高维的特征表示能力。此外,量子多体系统中的叠加与纠缠等现象,使得输入信息在系统演化过程中产生复杂的高阶相关结构,并通过测量过程体现为非线性的输出响应。进一步地,量子系统中的信息弥散(scrambling) 过程能够将局域输入快速扩展到全系统,从而同时引入非线性特征与时间相关性。
基于这些性质,一个关键问题随之浮现:如何调控量子动力学过程,使系统既能充分利用高维与复杂相关性来增强信息处理能力,又不会因信息过快随机化而丧失对输入历史的记忆,从而提升储层计算的整体性能?
1. 背景:储层计算的特点
除明确标明之处以外,以下的简要介绍部分为作者所写,并非论文原文的内容,而只是起到补充作用。
传统的深度神经网络由多层神经元组成,每层对应一个巨大的权重矩阵。训练过程中,每个神经元都需要根据损失函数的梯度进行修正,训练成本随网络规模剧烈增加,且可能陷入局部极值,收敛性难以保证。
储层计算则采用了一种不同的架构。所谓的 “储层” 是一个固定、高度非线性的动态系统,其作用是将输入信号映射至高维空间中的某个状态矢量。在训练过程中,这个非线性映射本身保持不变,唯一被优化的只有最后的“读出层”。由于优化目标转化为一个凸问题,训练的收敛性更可靠、代价也低得多。“储层”之名,正源于它将输入信号“映射”并“存储”到高维空间的过程。
研究者指出,储层中所使用的非线性映射,并不一定需要在计算机中软件实现,而是可以利用各种物理上易于实现的非线性系统来构造,只要最后可以读出一个矢量值即可。因此,集成光子学系统或其他物理系统可以针对储层映射进行优化,从而实现节能和加速。
一个直观的比喻是:储层就像一个水池。投入石子会产生水波;如果只观测池中某个特定水分子的运动,只能得到混杂的信号,但若拍摄水池的俯视图,就能清晰看到水波如何随时间向外传播。连续投入多个不同重量、速度、方向的石子,激发的水波模式也各不相同。这里,水池的俯视图对应高维空间,单个水分子的轨迹则是低维的。将信号“涟漪般散开”到一个高维空间,显然有助于记忆和处理时间序列信息。
那么,处理时间序列为什么需要非线性映射呢?考虑一个由“0”、“1”组成的信号序列。如果用一个线性映射来“记住”这个序列,最简单的就是直接复制,将“01001110...”这个字符串原样存储。这好比轻轻地向水池投入石子,激发的水波遵循线性方程,可以叠加干涉,但不会产生非线性相互作用。这种储层可以执行简单的“记忆”任务,例如“回答出之前某个时刻的信号是什么”,但无法执行任何非线性运算,比如“上一个和上上个信号的 AND 运算”。AND 运算是非线性的,不满足叠加律。
非线性相互作用就像水波之间的强烈作用:如果用力投入石子,不仅会激起水波,还可能溅起水花,水花落到其他波纹上又会改变其形状。极端情况下,如果落入的是一块高速坠落的陨石,激起的水花过于剧烈,可能导致之前投入石子所产生的波纹被彻底打乱、无法辨识。
由此可见,储层映射的非线性处理功能与记忆功能之间存在矛盾。信息之间的非线性相互作用往往不可逆:从相互作用的结果出发,不一定能可靠地反推出原始信息。例如 AND 运算,满足 AND(x, y) = 0 的 (x, y) 有三种可能性,仅从结果无法唯一确定输入。
既然非线性与记忆矛盾,为什么最终的读出层仍然只需要一层线性运算,就能经过训练完成各种任务?关键在于,读出层的有效性并不取决于任务本身的线性与否,而是取决于储层空间是否足够高维,使得信号中复杂的特征能够在高维空间中被充分分离。例如,要在二维平面上画一条线分开黑白两种颜色的球可能很难,但如果这些球悬浮在三维空间中,通过巧妙地选取一个二维平面,或许就能轻松分开。如果时间序列的每个信号还包含其他特征,储层空间就需要为这些特征分配更多维度。为了处理复杂信号,应增加储层空间的维度,从而减轻读出层的负担。
那么,具体怎样的非线性映射最为合适?考虑一个连续的非线性映射,比如非线性微分方程的演化过程:初值被非线性地映射到轨迹上的某一点。从动力系统的不动点、轨道和吸引子的角度来看,信号在储层映射下的像最好不要都局限在某个吸引子或轨道附近(这会使映射行为接近线性,缺乏相互作用),但也不要完全混乱地遍历全空间(这会导致信号特征几乎被混沌抹去,加重读出层负担)。
以下内容均来自论文原文及分析。
当储层映射是经典系统时,相应的框架称为经典储层计算;当映射由量子系统的时间演化实现时,则称为 量子储层计算。已有文献指出,最适合经典储层计算的映射是那些处于 混沌边缘(edge of chaos) 的映射。研究团队类比这一情况,针对量子储层计算提出猜想:最适合量子储层计算的,也是那些在时间演化过程中处于量子混沌边缘的系统。
对于非线性方程和经典动力系统,已有如李雅普诺夫指数(Lyapunov exponent) 等普适可观测量来刻画混沌。当演化时间超过李雅普诺夫时间的倒数,系统将呈现剧烈的初值敏感性,即经典混沌。然而对于量子系统,并无“轨道”、“李雅普诺夫指数”等经典概念,甚至连“量子混沌”的普适定义也尚无定论。因此,研究人员选择了一个具体的严格可解模型作为研究的出发点,即 SYK(Sachdev-Ye-Kitaev)模型。这是一个既能刻画信息弥散,又具备良好可调性的模型体系,利于系统性地进行研究。
2. 方法:用严格可解模型作为例子
SYK 模型由格点上的哈密顿量定义,其具体形式为:

其中 $N$ 是系统总格点数, $ĉ_i^†, ĉ_i$ 是费米型产生、湮灭算符, $J_{ijkl}, κ_{ij}$ 是从高斯型随机矩阵中采样的元素, $J$ 是相互作用强度, $κ$ 是无相互作用项。研究人员采用的储层映射是 $\exp(−iĤ_{SYK} t)$,其中第一个格点的量子态初值由时间序列信号设定。
SYK 模型的特点是:在时间维度上,存在一个类似于李雅普诺夫时间倒数的 Thouless time ($t_{Th}$),系统演化时间超过 $t_{Th}$ 后,就会呈现出混沌的特点。在参数维度上,可以通过调节相互作用强度 $J$ 与无相互作用项 $κ$ 的比值 $J/κ$ 来调控信息弥散(即混沌)程度。$J/κ$ 越大,系统的混沌特征越强;当 $J=0$ 时,系统完全不混沌。
针对这一模型,判断混沌与否的可观测量是能量本征态间隔分布和谱结构因子(spectral form factor, SFF),分别用于确定系统在参数维度和时间维度上是否处于混沌状态,以及混沌-非混沌的转变点。
研究人员使用两种时间序列任务来测试量子储层计算在不同条件下的性能:短时记忆(Short-term Memory, STM) 和非线性自回归平均问题(Nonlinear Auto-regression Moving Average, NARMA)。STM任务考验短期记忆能力,要求模型记住 $d$ 步之前的输入信号;NARMA任务则同时考验记忆和非线性信息处理能力,要求模型输出前序信号的一次型平均值与二次型平均值的加权和。由于表达式中出现了二次项,NARMA任务无法用线性的储层映射完成。
具体而言,研究人员将储层映射设定为 8 个格点上的 SYK 模型时间演化,针对不同的演化时间 $t$ 和混沌参数 $J/κ$(两者均可独立调节混沌与否,构成 $2\times 2=4$ 种情况),分别执行两种任务,考察其表现,因此共有 8 种情况需要分析。
3. 发现:量子混沌的边缘利于储层计算
研究人员进行的 8 次数值实验,可以根据任务类型(2种)和实验条件(调节时间和参数分别是否混沌)来分类,如下图所示。

图为文章思路示意图。每个黑色坐标轴的正向代表混沌,负方向代表非混沌,原点对应临界值。蓝色箭头代表一次调节系统性质的实验。箭头附近的符号❌、🆗、✅代表实验测得的储层计算性能,从差到好依次是❌、🆗、✅。其中,🆗代表性能相对好但没有峰值,✅代表性能好且存在确定的峰值位置。
上半部分对应固定哈密顿量参数、调节演化时间,即跨越量子混沌的“时间边缘”(temporal edge)。下半部分对应固定演化时间、调节哈密顿量参数,即跨越“参数边缘”(parameter edge)。

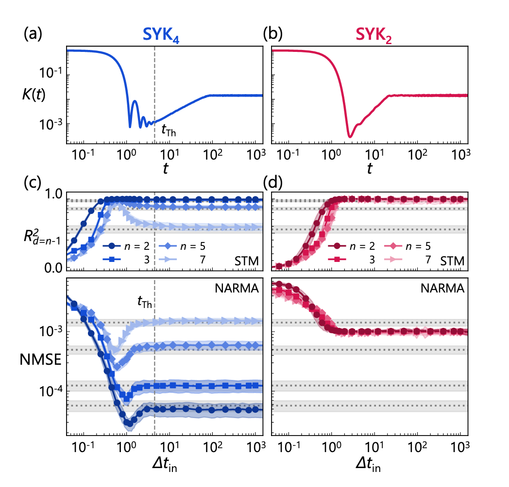
图1: (a), (b):SYK₄, SYK₂ 模型分别对应的谱结构因子(SFF),每条曲线表示20000次实验的平均值。(c), (d):量子储层计算的性能作为输入间隔 $\Delta t_{in}$ 的函数,分别对 SYK₄, SYK₂ 模型进行计算。上半部分图中标明了记忆任务性能 $R²_{d=n-1}$(值越高越好),下半部分图标明了NARMA任务下的归一化均方误差NMSE(值越低越好)。不同图形符号代表不同的任务阶数 $n=2,3,5,7$。水平虚线是Haar随机量子储层计算的性能,作为基准。所有性能值是500次计算的平均值,阴影部分代表标准差。竖直虚线代表 Thouless time ($t_{Th}$)。

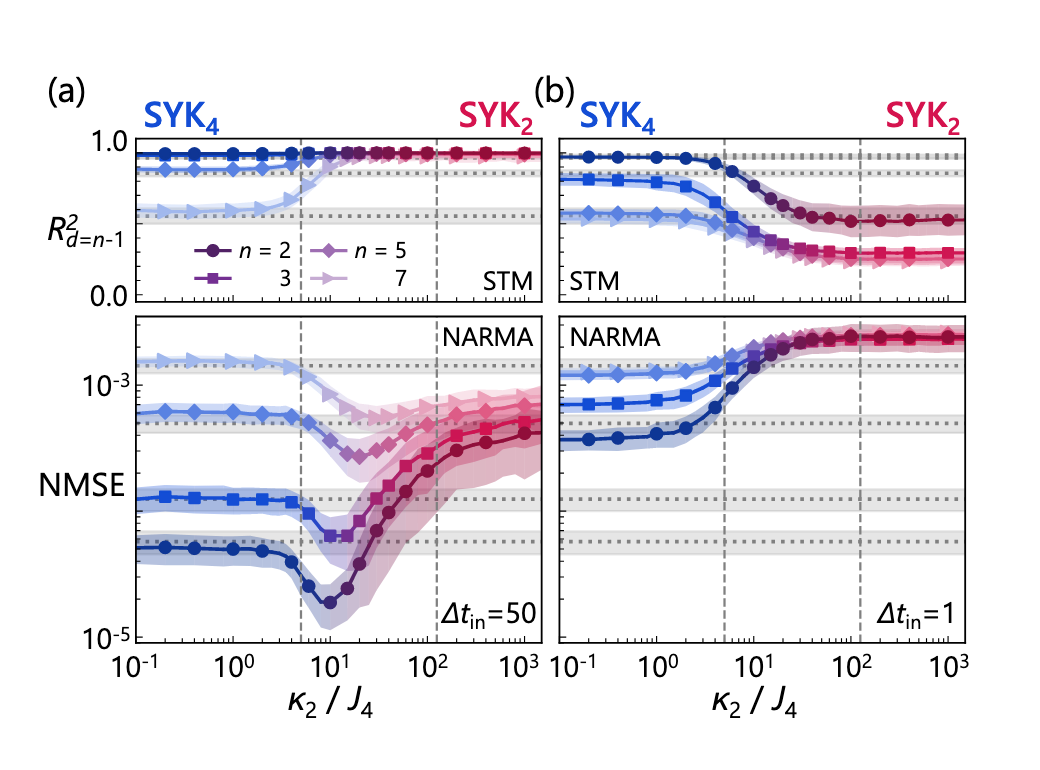
图2: (a), (b):量子储层计算的性能作为 $\kappa_2 / J_4$ 的函数,分别在输入间隔 $\Delta t_{in}$ 为50和1时测得。图形符号代表不同阶数 $n$,颜色代表能量本征值间距分布的性质(蓝色代表混沌,红色代表非混沌)。虚线代表能量本征值间距分布的实验值与理论值差距小于 $10^{-2}$ 的临界点。
3.1. STM任务
在STM任务中,储层计算本质上只需执行一个线性的“复制粘贴”操作。因此,在这个任务中,SYK模型越混沌,表现就越差。从图1(c)(d)上半部分可以看出,系统演化超过 $t_{Th}$ 以后,针对STM任务,$J/κ$ 较大时(即更混沌),储层计算的表现较差。从图2(a)上半部分也可以看出,系统哈密顿量的参数越偏向混沌区域,表现越差。总而言之,该任务并未展现出“混沌边缘”的性能峰值特性,而是性能随混沌程度增强单调下降。这都是由该任务本身的线性性质所决定的。
3.2. NARMA任务
在NARMA任务中,储层计算既需要执行线性加权平均,又需要计算二次项,因此需要在记忆能力和非线性处理能力之间取得平衡。
从图1(c)(d)下半部分可以看到,对于参数设置较为混沌的系统(如SYK₄),随着储层映射演化时间 $t$ 的增加,储层计算性能在 $t$ 略小于 $t_{Th}$ 处达到峰值,且任务越简单($n$ 越小),性能越好。对于参数不混沌的系统(如SYK₂),随着演化时间增加,性能只是单调上升并饱和,且性能与任务复杂度无关(即使任务简单,性能也较差)。
从图2可以看到,如果只允许储层映射进行很短的哈密顿量演化($\Delta t_{in}=1$),以至于系统无法达到混沌状态,那么即使在参数维度上跨越混沌边缘,也无法提升储层计算性能(因为足够长的演化时间是达到混沌的充分条件之一)。如果给予储层映射足够的演化时间($\Delta t_{in}=50$),那么,在参数 $J/κ$ 跨越混沌边缘时,NARMA任务的性能将出现峰值。
特别地,针对“跨越参数边缘”且演化时间足够长的情况,研究人员调节了NARMA任务的阶数(由 $n$ 表示)。$n$ 越大,代表储层计算系统需要记住越“久远”的信号。由于非线性映射不利于记忆,可以猜想:$n$ 越大时,最优的参数应该越远离混沌边缘、偏向非混沌区域。原文中的图 2(a)(即本文图2(a)下半部分)证实了这一点:对于越大的 $n$,性能峰值对应的 $\kappa_2 / J_4$ 参数值越大,即越偏向非混沌区域。
4. 总结与展望
汇总所有的数值结果,研究人员发现:在 8 种情况中,STM任务对应的 4 种情况较为平凡,无法显示出混沌边缘效应,其性能完全由哈密顿量参数(混沌程度)决定。而NARMA任务对应的 4 种情况则显著地表现出了混沌边缘效应。即在“时间”和“参数”两个维度中,如果其中一个已经满足混沌条件,另一个从“非混沌”变为“混沌”时,系统将在此过程中展现出量子储层计算的峰值性能。并且,峰值对应的具体位置,取决于机器学习任务本身在“非线性处理与记忆能力”这对矛盾中的偏向。
本文从一个自然的经典-量子类比出发,提出了量子储层计算的性能与量子混沌边缘相关的猜想,并通过数值实验研究了这种关系的具体形态及其对任务的依赖性。研究团队认为,他们的结果虽然基于具体的SYK模型得出,但谱结构因子和能量本征态间隔分布都是不依赖于具体模型的可观测量,因此其思路和方法可以拓展到其他量子系统中。
原文研究的模型属于随机矩阵理论框架下的量子混沌模型。但量子混沌还有其他表现形式,例如多体局域化相变。使用其他类型量子混沌模型的量子储层计算性能如何、与随机矩阵理论有何联系、随机矩阵理论能在多大程度上普适地刻画量子混沌与量子储层计算的关系,仍有待进一步研究。
对机器学习系统的全面评估本身是复杂的。研究团队也提到,由于量子储层计算是结合了经典机器学习与量子物理的交叉框架,如何判定系统的某个性能特点究竟源自其量子部分还是经典部分,本身就是一个挑战。这无疑是一个需要融合机器学习工程实践与量子混沌物理直觉的开放问题。
参考文献
- Strogatz, Steven H. 2024. Nonlinear Dynamics and Chaos: With Applications to Physics, Biology, Chemistry, and Engineering. 3rd ed. Chapman and Hall/CRC. https://doi.org/10.1201/9780429398490.
- Abanin, Dmitry A., Ehud Altman, Immanuel Bloch, and Maksym Serbyn. 2019. “Many-Body Localization, Thermalization, and Entanglement.” Reviews of Modern Physics 91 (2): 021001. https://doi.org/10.1103/RevModPhys.91.021001.