找回密码
立即注册
搜索
热搜: Java Python Linux Go
发回帖 发新帖

285

积分

0

好友

31

主题
发表于 2025-12-24 17:19:32 | 查看: 32| 回复: 0

在机器人学中,对刚体位姿(位置和姿态)进行精确的数学描述与高效计算至关重要。我们常听到的“旋量”、“四元数”、“李群”、“李代数”等概念,正是为解决机器人运动学、动力学以及SLAM(即时定位与地图构建)中的实际工程问题(如位姿优化、传感器融合)而发展出的强大数学工具。理解它们有助于构建坚实的知识体系,进行更深层次的算法设计与应用。

一、问题缘起:为何需要李群与李代数?

1.1 刚体位姿的数学描述

机器人可视为由一系列连杆(刚体)构成的系统。研究这些刚体在空间中的关系,是机器人技术的核心。欧几里得空间(欧氏空间)是描述这种关系的常用框架,其基本特性是平移和旋转。

在欧氏空间中,通常用笛卡尔坐标系及其之间的关系来描述位姿。坐标系间的关系分为平移和旋转两种基本变换。

李群与李代数:机器人位姿估计与优化的数学基础 - 图片 - 1
图1. 欧氏空间中的平移变换(A)与旋转变换(B)

用数学公式表达:

  1. 平移变换:可用一个3×1的平移向量表示。
    李群与李代数:机器人位姿估计与优化的数学基础 - 图片 - 2
    李群与李代数:机器人位姿估计与优化的数学基础 - 图片 - 3
  2. 旋转变换:传统上需要一个3×3的旋转矩阵表示。
    李群与李代数:机器人位姿估计与优化的数学基础 - 图片 - 4
    李群与李代数:机器人位姿估计与优化的数学基础 - 图片 - 5

平移仅需3个参数,而旋转矩阵的9个参数存在冗余和约束。为了简化,发展出了欧拉角、四元数等描述方法。

将平移和旋转组合起来描述一个刚体变换,最直观的形式是:
李群与李代数:机器人位姿估计与优化的数学基础 - 图片 - 6

为了统一成单一的矩阵乘法形式(便于后续计算),引入了齐次坐标。将三维点增加一维,通常补为1。

  • 平移的齐次形式:
    李群与李代数:机器人位姿估计与优化的数学基础 - 图片 - 7
  • 旋转的齐次形式:
    李群与李代数:机器人位姿估计与优化的数学基础 - 图片 - 8

那么,先旋转后平移的复合变换(左乘顺序)为:
李群与李代数:机器人位姿估计与优化的数学基础 - 图片 - 9

由此,我们定义位姿矩阵(变换矩阵)为:
李群与李代数:机器人位姿估计与优化的数学基础 - 图片 - 10
从而,刚体变换方程可简洁地写为:
李群与李代数:机器人位姿估计与优化的数学基础 - 图片 - 11

1.2 矩阵求导的困境

在机器人状态估计(如移动机器人定位、机械臂手眼标定)中,常需要通过观测数据求解最优位姿。例如,设有固定在刚体上的N个点李群与李代数:机器人位姿估计与优化的数学基础 - 图片 - 12(真实值),及其在传感器中的观测值李群与李代数:机器人位姿估计与优化的数学基础 - 图片 - 13,目标是寻找最优变换矩阵 李群与李代数:机器人位姿估计与优化的数学基础 - 图片 - 14,最小化重投影误差:
李群与李代数:机器人位姿估计与优化的数学基础 - 图片 - 15

这就需要对目标函数 李群与李代数:机器人位姿估计与优化的数学基础 - 图片 - 16 关于变换矩阵 李群与李代数:机器人位姿估计与优化的数学基础 - 图片 - 17 求导。然而,旋转矩阵必须满足正交性 李群与李代数:机器人位姿估计与优化的数学基础 - 图片 - 18 和行列式为1 李群与李代数:机器人位姿估计与优化的数学基础 - 图片 - 19 的约束。关键问题在于:两个旋转矩阵相加的结果,不再是一个旋转矩阵。即,所有旋转矩阵构成的集合对加法运算不封闭。

李群与李代数:机器人位姿估计与优化的数学基础 - 图片 - 20
图2. 旋转矩阵集合可视作一个流形(如球面),流形上的点(如R)对加法不封闭

由于无法在流形上直接定义导数,传统的微积分工具失效。这正是李群与李代数要解决的核心问题:为这类具有约束的“弯曲”空间(流形)提供一套微积分工具

二、李群与李代数基础

2.1 群的数学定义

群是描述对称性的代数结构。一个群 李群与李代数:机器人位姿估计与优化的数学基础 - 图片 - 21 由一个集合 李群与李代数:机器人位姿估计与优化的数学基础 - 图片 - 22 和一种二元运算 李群与李代数:机器人位姿估计与优化的数学基础 - 图片 - 23 构成,满足以下四条公理(对任意 李群与李代数:机器人位姿估计与优化的数学基础 - 图片 - 24):

  1. 封闭性李群与李代数:机器人位姿估计与优化的数学基础 - 图片 - 25
  2. 结合律李群与李代数:机器人位姿估计与优化的数学基础 - 图片 - 26
  3. 单位元: 存在唯一单位元 李群与李代数:机器人位姿估计与优化的数学基础 - 图片 - 27,使得 李群与李代数:机器人位姿估计与优化的数学基础 - 图片 - 28
  4. 逆元: 对任意 李群与李代数:机器人位姿估计与优化的数学基础 - 图片 - 29,存在唯一逆元 李群与李代数:机器人位姿估计与优化的数学基础 - 图片 - 30,使得 李群与李代数:机器人位姿估计与优化的数学基础 - 图片 - 31

旋转变换显然满足这些性质,因此旋转矩阵集合在矩阵乘法下构成一个群。

2.2 李群与李代数的直观理解

李群:是一个光滑的流形,同时其元素也构成一个。“光滑”意味着可以在其上做微积分。例如,所有旋转矩阵构成的特殊正交群 SO(3) 就是一个李群。

李代数:对应李群在单位元处的切空间。这是一个向量空间,对加法封闭,非常适合进行微积分运算。

李群与李代数:机器人位姿估计与优化的数学基础 - 图片 - 32
图3. 流形{M}在某点X处的切空间T_X{M}是一个向量空间

李群与李代数:机器人位姿估计与优化的数学基础 - 图片 - 33
图4. 旋转矩阵李群{M}及其在单位元ε处的切空间(李代数)

核心关系:李群(弯曲空间)和李代数(平直切空间)之间通过指数映射和对数映射相互转换。这类似于复变函数中,复数乘法(李群运算)与复数加法(李代数运算)通过指数函数联系起来。

单位圆例子 (S¹)

单位复数集合 李群与李代数:机器人位姿估计与优化的数学基础 - 图片 - 34 在乘法下构成李群,满足 李群与李代数:机器人位姿估计与优化的数学基础 - 图片 - 35。其李代数是虚数轴 李群与李代数:机器人位姿估计与优化的数学基础 - 图片 - 36

李群与李代数:机器人位姿估计与优化的数学基础 - 图片 - 37
图5. 单位圆S¹李群与其李代数iR的关系

设初始点 李群与李代数:机器人位姿估计与优化的数学基础 - 图片 - 38,经旋转 李群与李代数:机器人位姿估计与优化的数学基础 - 图片 - 39 得到 李群与李代数:机器人位姿估计与优化的数学基础 - 图片 - 40,即 李群与李代数:机器人位姿估计与优化的数学基础 - 图片 - 41。利用欧拉公式 李群与李代数:机器人位姿估计与优化的数学基础 - 图片 - 42,有:
李群与李代数:机器人位姿估计与优化的数学基础 - 图片 - 43
并且,
李群与李代数:机器人位姿估计与优化的数学基础 - 图片 - 44

结论:李群上的乘法 李群与李代数:机器人位姿估计与优化的数学基础 - 图片 - 45 对应李代数上的加法 李群与李代数:机器人位姿估计与优化的数学基础 - 图片 - 46。指数映射将对数空间的向量“卷曲”到群上。

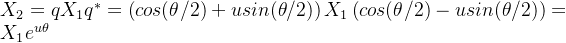
单位四元数球面例子 (S³)

单位四元数集合 李群与李代数:机器人位姿估计与优化的数学基础 - 图片 - 47 也构成李群,其形式为 李群与李代数:机器人位姿估计与优化的数学基础 - 图片 - 48,满足 李群与李代数:机器人位姿估计与优化的数学基础 - 图片 - 49。其李代数是由纯虚四元数构成的三维空间,与 李群与李代数:机器人位姿估计与优化的数学基础 - 图片 - 50 同构。

李群与李代数:机器人位姿估计与优化的数学基础 - 图片 - 51
图6. 单位四元数球面S³李群与其李代数(切平面)的关系

对于纯虚四元数表示的向量 李群与李代数:机器人位姿估计与优化的数学基础 - 图片 - 52,经单位四元数 李群与李代数:机器人位姿估计与优化的数学基础 - 图片 - 53 的共轭旋转后得到 李群与李代数:机器人位姿估计与优化的数学基础 - 图片 - 54。可以推导出类似关系:
李群与李代数:机器人位姿估计与优化的数学基础 - 图片 - 55
李群与李代数:机器人位姿估计与优化的数学基础 - 图片 - 56

2.3 欧拉公式的几何意义

指数映射的核心是欧拉公式:
李群与李代数:机器人位姿估计与优化的数学基础 - 图片 - 57
等式右边描述了复平面上单位圆的圆周运动。

李群与李代数:机器人位姿估计与优化的数学基础 - 图片 - 58
图7. e^{iθ} 在复平面上的几何表示:模长为1,幅角为θ

我们可以从极限的角度直观理解 李群与李代数:机器人位姿估计与优化的数学基础 - 图片 - 59。已知 李群与李代数:机器人位姿估计与优化的数学基础 - 图片 - 60,则 李群与李代数:机器人位姿估计与优化的数学基础 - 图片 - 61。复数相乘意味着旋转和伸缩。当 n 取不同值时, 李群与李代数:机器人位姿估计与优化的数学基础 - 图片 - 62 的极限过程如下:

当 θ=1, n=3 时:
李群与李代数:机器人位姿估计与优化的数学基础 - 图片 - 63
李群与李代数:机器人位姿估计与优化的数学基础 - 图片 - 64
图8. n=3时的逐步旋转

当 θ=1, n=10 时:
李群与李代数:机器人位姿估计与优化的数学基础 - 图片 - 65
李群与李代数:机器人位姿估计与优化的数学基础 - 图片 - 66
图9. n=10时的逐步旋转

当 θ=1, n=50 时:
李群与李代数:机器人位姿估计与优化的数学基础 - 图片 - 67
李群与李代数:机器人位姿估计与优化的数学基础 - 图片 - 68
图10. n=50时,结果已非常接近圆周上1弧度处

李群与李代数:机器人位姿估计与优化的数学基础 - 图片 - 69李群与李代数:机器人位姿估计与优化的数学基础 - 图片 - 70 精确落在单位圆上1弧度的位置。这生动展示了指数映射如何将直线上的“距离”映射为圆上的“角度”。

三、李群在机器人学中的应用

3.1 三维旋转群 SO(3) 与其李代数 so(3)

特殊正交群 SO(3) 是所有三维旋转矩阵构成的李群:
李群与李代数:机器人位姿估计与优化的数学基础 - 图片 - 71

其对应的李代数 so(3) 是一个由三维向量 李群与李代数:机器人位姿估计与优化的数学基础 - 图片 - 72 组成的空间,每个向量对应一个反对称矩阵:
李群与李代数:机器人位姿估计与优化的数学基础 - 图片 - 73
其中,反对称算子 李群与李代数:机器人位姿估计与优化的数学基础 - 图片 - 74 定义为:
李群与李代数:机器人位姿估计与优化的数学基础 - 图片 - 75
李群与李代数:机器人位姿估计与优化的数学基础 - 图片 - 76

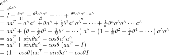
指数映射(李代数 -> 李群)
对旋转矩阵 李群与李代数:机器人位姿估计与优化的数学基础 - 图片 - 77 的正交约束 李群与李代数:机器人位姿估计与优化的数学基础 - 图片 - 78 两边对时间求导,可导出关系:李群与李代数:机器人位姿估计与优化的数学基础 - 图片 - 79。求解此微分方程得到指数映射关系:
李群与李代数:机器人位姿估计与优化的数学基础 - 图片 - 80
更一般地,写作:
李群与李代数:机器人位姿估计与优化的数学基础 - 图片 - 81

为了计算这个指数映射,将李代数向量表示为旋转轴和角度:李群与李代数:机器人位姿估计与优化的数学基础 - 图片 - 82,其中 李群与李代数:机器人位姿估计与优化的数学基础 - 图片 - 83 是单位向量,θ 是旋转角。利用反对称矩阵的性质(如 李群与李代数:机器人位姿估计与优化的数学基础 - 图片 - 84)进行泰勒展开化简,得到著名的罗德里格斯公式
李群与李代数:机器人位姿估计与优化的数学基础 - 图片 - 85
即:
李群与李代数:机器人位姿估计与优化的数学基础 - 图片 - 86
这给出了从旋转向量(旋量)到旋转矩阵的直接计算方法。

对数映射(李群 -> 李代数)
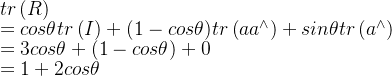
反之,从旋转矩阵 R 求解旋转轴 a 和角度 θ。对罗德里格斯公式两边求迹:
李群与李代数:机器人位姿估计与优化的数学基础 - 图片 - 87
可得:
李群与李代数:机器人位姿估计与优化的数学基础 - 图片 - 88

旋转轴 a 是旋转矩阵 R 特征值为 1 对应的特征向量,即求解 李群与李代数:机器人位姿估计与优化的数学基础 - 图片 - 89

李群与李代数:机器人位姿估计与优化的数学基础 - 图片 - 90
图11. SO(3)李群与so(3)李代数的转换关系示意

3.2 三维欧氏变换群 SE(3) 与其李代数 se(3)

特殊欧氏群 SE(3) 描述三维空间的刚体运动(旋转+平移):
李群与李代数:机器人位姿估计与优化的数学基础 - 图片 - 91

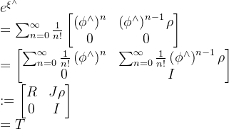
其对应的李代数 se(3) 位于 李群与李代数:机器人位姿估计与优化的数学基础 - 图片 - 92 空间中:
李群与李代数:机器人位姿估计与优化的数学基础 - 图片 - 93
其中,\phi \in so(3)\rho \in \mathbb{R}^3。这里的 \xi 就是一个运动旋量

类似 SO(3) 的推导,通过对 李群与李代数:机器人位姿估计与优化的数学基础 - 图片 - 94 求导,可定义 李群与李代数:机器人位姿估计与优化的数学基础 - 图片 - 95,并得到微分方程 李群与李代数:机器人位姿估计与优化的数学基础 - 图片 - 96 的解:
李群与李代数:机器人位姿估计与优化的数学基础 - 图片 - 97

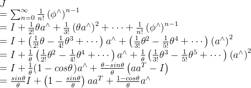
指数映射计算
李群与李代数:机器人位姿估计与优化的数学基础 - 图片 - 98 进行指数展开并利用其幂的规律性,可推导出:
李群与李代数:机器人位姿估计与优化的数学基础 - 图片 - 99
其中,李群与李代数:机器人位姿估计与优化的数学基础 - 图片 - 100 就是 SO(3) 的指数映射结果(罗德里格斯公式)。而矩阵 J 为:
李群与李代数:机器人位姿估计与优化的数学基础 - 图片 - 101

对数映射:从 SE(3) 的变换矩阵 T 中,可以提取出旋转部分 R,按 SO(3) 的方法得到 \phi(进而得到 a 和 θ)。平移部分 d 满足 李群与李代数:机器人位姿估计与优化的数学基础 - 图片 - 102,因此李代数的平移部分可由 李群与李代数:机器人位姿估计与优化的数学基础 - 图片 - 103 求得。

李群与李代数:机器人位姿估计与优化的数学基础 - 图片 - 104
图12. 机器人学中SO(3)/SE(3)与so(3)/se(3)的映射关系总结(图片来源:《视觉SLAM十四讲》)

3.3 指数映射的重要性质

指数映射 李群与李代数:机器人位姿估计与优化的数学基础 - 图片 - 105 具有以下关键性质,这些性质在优化和插值中非常有用:

  1. 李群与李代数:机器人位姿估计与优化的数学基础 - 图片 - 106 (可加性)
  2. 李群与李代数:机器人位姿估计与优化的数学基础 - 图片 - 107
  3. 李群与李代数:机器人位姿估计与优化的数学基础 - 图片 - 108 (逆元对应)
  4. 李群与李代数:机器人位姿估计与优化的数学基础 - 图片 - 109 (伴随性质)

总结

李群与李代数为机器人学(以及计算机视觉SLAM等领域)中描述带约束的旋转与运动提供了完美的数学框架。李群(如SO(3), SE(3)) 作为真实的运动空间,具有良好的几何意义但不利于直接进行微积分;李代数(如so(3), se(3)) 作为其切空间,是向量空间,便于进行导数、优化等数值计算。二者通过指数映射对数映射相互转换,使得我们能够将复杂的流形上的优化问题,转化为在简单的向量空间中求解,从而有效解决了机器人位姿估计中的优化问题。掌握这一工具,是深入理解现代机器人感知与状态估计算法的关键一步。




上一篇:树莓派CM0系统烧录与配置指南:从硬件准备到Home Assistant和MQTT部署
下一篇:深度学习帧内预测在HEVC/H.265中的技术演进与性能对比
您需要登录后才可以回帖 登录 | 立即注册

手机版|小黑屋|网站地图|云栈社区 ( 苏ICP备2022046150号-2 )

GMT+8, 2026-1-11 20:16 , Processed in 0.520540 second(s), 40 queries , Gzip On.

Powered by Discuz! X3.5

© 2025-2025 云栈社区.

快速回复 返回顶部 返回列表