
PyTorch的自动梯度求解(Autograd)功能是该框架受欢迎的一个重要因素。开发者只需构建好前向计算图,调用backward()函数即可自动完成梯度的反向传播。然而,其官方实现源码超过千行,对初学者而言理解成本较高。因此,本文将从其最核心的基础——一维梯度运算开始,抽丝剥茧地分析其运作机制。主要内容包括:
- 梯度计算的核心概念。
- 如何利用计算图进行逐步梯度求解。
- 用C++从零实现一个简易的Autograd系统。
核心概念引导
本文的“一维”特指一个仅包含维度0的向量,可视为标量(scalar)。
“梯度运算”在机器学习中频繁出现,其数学本质是利用链式法则求微分。
首先回顾两个基础问题,用以重温“前向计算”、“反向传播”与“链式求导”:
y = z;已知 z=1,grad_y=1,求 y 与 grad_z 的值。
y = 2*z;z = x^2;已知 x=2,grad_y=1,求 z, y, grad_z, grad_x 的值。
答案:
问题1:y = 1, grad_z = 1。
问题2:z = 4, y = 8, grad_z = 2, grad_x = 8(验证代码见文末附1)。
问题1与2的计算虽简单,却涵盖了完整的梯度求解流程。复杂的自动梯度计算正是这些基本单元的叠加。
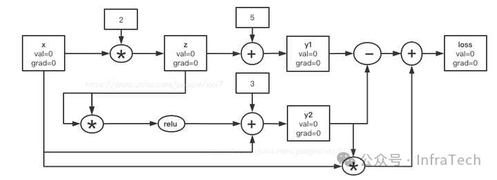
一个PyTorch程序示例
import torch
x = torch.tensor([-2], dtype=torch.float32, requires_grad=True)
z = 2 * x
y1 = z + 5
y2 = (z * z).relu() + x + 3
loss = y1 - y2 + y2 * x
loss.backward()
print(x.grad.item()) # 打印x的梯度值
该程序包含了Autograd的典型操作。请先思考:
- 若手动计算
x.grad,过程如何?结果与程序输出是否一致?
- 程序内部的梯度是如何算出的?若让你编码实现此过程,该如何入手?
一、数学求解过程
首先,明确数学求解过程。提取程序中的运算,得到如下公式:
z = 2 * x
y1 = z + 5
s = z * z
y2 = relu(s) + x + 3 (其中 relu(x) = x if x >= 0 else 0)
loss = y1 - y2 + y2 * x
自动微分计算原理
基本概念
假设每个值由两个部分组成 (value, grad):
value 表示 forward 的数值
grad 是反向运算得到的梯度值
单步梯度计算
对于单步的梯度计算满足公式:
∇x_new = ∇x_old + (∂y/∂x) * ∇y ...(6)
其中:
∇x_new - 待求参数的梯度值
∇x_old - 当前梯度值
∂y/∂x - 是正向函数 y=f(x) 的求导函数
∇y - 是反向传递过来的梯度值
复合函数求导
对于 f = f1 + f2 + ... + fk 的求导公式为:
∂f/∂x_i = ∂f1/∂x_i + ∂f2/∂x_i + ... + ∂fk/∂x_i ...(7)
通过公式 7 可知,对于复杂的求导可拆成多个子式进行线性叠加。
计算流程
结合公式 6 和 7,当需要计算 x 梯度时:
- 先找到与 x 相关的所有正向计算
- 然后构建每个正向计算的反向公式并计算梯度分量
- 将梯度分量进行叠加得到最终结果
运算可以依次迭代运行,也可以并发执行。
计算示例
如下图所示,当计算 x_0 的梯度时,需要按照公式 6,依次用 y_0、y_1 和 y_2 的更新梯度 x_0.grad。
计算图结构
x_0 ──f_0(x)──> y_0
│ │
grad grad
│
├──f_1(x)──> y_1
│ (dy1/dx0) │
│ grad
│
x_1 ──f_2(x)──> y_2
│ │
grad grad
具体计算过程
假设条件:
y_1 = 2 * x_0 - x_1
y = (1, 3)
x = (1, 2)
∂y/∂x = 2
∇y = 3
代入公式 6 计算:
∇x_0_new = ∇x_0_old + (∂y/∂x) * ∇y
∇x_0_new = 2 + 2 * 3
∇x_0_new = 8
伪代码实现
# 前向传播
def forward(x_0, x_1):
y_0 = f_0(x_0)
y_1 = f_1(x_0) # y_1 = 2 * x_0 - x_1
y_2 = f_2(x_1)
return y_0, y_1, y_2
# 反向传播
def backward(x_0, grad_y_0, grad_y_1, grad_y_2):
# 初始化梯度
grad_x_0 = 0
# 累加来自 y_0 的梯度贡献
grad_x_0 += (dy_0/dx_0) * grad_y_0
# 累加来自 y_1 的梯度贡献
grad_x_0 += (dy_1/dx_0) * grad_y_1 # dy_1/dx_0 = 2
# y_2 不依赖 x_0,无需累加
return grad_x_0
关键优势
求解中可以发现,计算 x_0 的梯度并不需要分析 x_1 与 y_0/y_1/y_2 之间梯度求解的关系,这样就可以将运算解耦开来。
这种解耦特性使得:
✅ 计算可以并行化 - 不同参数的梯度可以独立计算
✅ 梯度计算更加高效 - 避免了不必要的依赖分析
✅ 便于分布式训练实现 - 各节点可以独立计算各自参数的梯度
实际应用场景
在深度学习框架(如 PyTorch、TensorFlow)中的应用:
# PyTorch 示例
import torch
x_0 = torch.tensor(1.0, requires_grad=True)
x_1 = torch.tensor(2.0, requires_grad=True)
# 前向传播
y_1 = 2 * x_0 - x_1
# 反向传播
y_1.backward(torch.tensor(3.0)) # 传入 ∇y = 3
# 查看梯度
print(f"x_0.grad = {x_0.grad}") # 输出: x_0.grad = 6.0
总结
自动微分的核心思想:
- 前向传播 - 计算函数值
- 反向传播 - 利用链式法则计算梯度
- 梯度累加 - 多个路径的梯度贡献线性叠加
- 计算解耦 - 每个参数的梯度计算相互独立
二、基于计算图的梯度更新
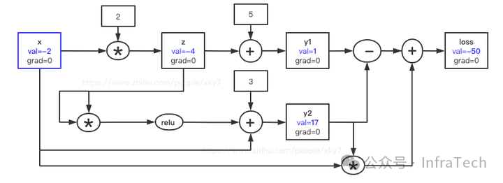
将公式(1)~(5)构建为计算图,如下图所示。节点包含 val(值)和 grad(梯度)。计算过程分为两步:先进行前向传播(Forward)计算所有 val,再进行反向传播(Backward)迭代更新所有 grad。

步骤1:正向求解
依序计算各节点 val:
x(-2, 0) ; z(-4, 0); y1(1, 0) ; y2(17, 0) ; loss(-50, 0);

步骤2:反向求解
结合梯度公式,从 loss 节点(梯度初始为1)开始反向迭代:
- 更新 loss:
loss_grad = 1,即 loss(-50, 1)。
- 更新 loss 的输入(公式5):
∂loss/∂y1 = 1, ∂loss/∂y2 = -1 + x = -3, ∂loss/∂x = y2 = 17。代入 loss_grad=1,得:
x.grad += 1 * 17 = 17 -> x(-5, 17)
y1.grad += 1 * 1 = 1 -> y1(1, 1)
y2.grad += 1 * (-3) = -3 -> y2(17, -3)

- 更新 y2 的输入(公式4):
∂y2/∂s = 1 (因为 s=16>0), ∂y2/∂x = 1。y2_grad = -3,得:
s.grad += (-3) * 1 = -3 (此处 s 为中间变量,对应 z*z)
x.grad += (-3) * 1 = -3 -> x(-5, 14)
- 注意
s = z * z,其梯度将传递给 z(见后续 Mul 操作)。
- *更新 s (即 zz) 的输入(乘法规则)*:`∂s/∂z = 2z = -8
。s_grad = -3`,得:
z.grad += (-3) * (-8) = 24 -> z(-4, 24)
- 更新 y1 的输入(公式3):
∂y1/∂z = 1。y1_grad = 1,得:
z.grad += 1 * 1 = 1 -> z(-4, 25)

- 更新 z 的输入(公式2):
∂z/∂x = 2。z_grad = 25,得:
x.grad += 25 * 2 = 50 -> x(-5, 64)

最终结果:
x(-5, 64) 、 z(-4, 25)、 y1(1, 1) 、 y2(17, -3) 、 loss(-50, 1);
此结果与PyTorch程序输出完全一致,验证代码如下:
import torch
x = torch.tensor([-2], dtype=torch.float32, requires_grad=True)
z = 2 * x
y1 = z + 5
y2 = (z * z).relu() + x + 3
loss = y1 - y2 + y2 * x
# 保存中间梯度
z.retain_grad()
y1.retain_grad()
y2.retain_grad()
loss.backward()
print(f“x: {x.item()} x.grad: {x.grad.item()}“)
print(f“z: {z.item()} z.grad: {z.grad.item()}“)
print(f“y1: {y1.item()} y1.grad: {y1.grad.item()}“)
print(f“y2: {y2.item()} y2.grad: {y2.grad.item()}“)
“””
输出:
x: -2.0 x.grad: 64.0
z: -4.0 z.grad: 25.0
y1: 1.0 y1.grad: 1.0
y2: 17.0 y2.grad: -3.0
“””
计算图清晰地展示了过程,但要让程序实现,需解决两个关键问题:记住前向运算的公式、获取反向传播的拓扑顺序。
三、C++实现一个简易Autograd
一个简易的训练框架通常包含三个要素:数据(Tensor)、运算(Ops)、计算图(Graph)。
1. Tensor设计
Tensor需存储数值(val)、梯度(grad),并记录反向传播函数及上下游节点关系。
class Tensor : public enable_shared_from_this<Tensor> {
public:
double val; // 存储value值
double grad; // 存储梯度
void (Tensor::*_backwardFunc)(); // 记录反向运算的函数指针
shared_ptr<vector<TensorPtr>> cache; // 记录节点的输入依赖
// ... 构造函数及其他成员函数
};
2. Ops定义与计算图构建
在每个运算(如加法)中,不仅计算输出值,还需注册反向函数和输入依赖。
TensorPtr operator+(TensorPtr tensorA, TensorPtr tensorB) {
shared_ptr<Tensor> out;
out = make_shared<Tensor>();
out->val = tensorA->val + tensorB->val;
// 记录依赖关系,用于构建计算图
out->cache->push_back(tensorA);
out->cache->push_back(tensorB);
out->_backwardFunc = &Tensor::AddBackward; // 注册反向函数
return out;
}
// 加法对应的反向传播函数
void Tensor::AddBackward() {
for (auto i : *cache) {
i->grad += this->grad; // 梯度累加
}
}
3. 拓扑排序与反向传播
核心在于通过递归遍历,获取所有节点的拓扑排序,确保反向传播时节点按依赖的逆序执行。
void BuildTopo(TensorPtr tensor, set<TensorPtr> &visited, stack<TensorPtr> &topo) {
if (!visited.count(tensor)) {
visited.insert(tensor);
for (auto input : *(tensor->cache)) {
BuildTopo(input, visited, topo);
}
topo.push(tensor); // 后序放入,保证子节点在前
}
}
void Tensor::Backward() {
set<TensorPtr> visited;
stack<TensorPtr> topo;
this->grad = 1.0; // 根节点梯度初始化为1
BuildTopo(shared_from_this(), visited, topo);
while (!topo.empty()) {
auto tensor = topo.top();
topo.pop();
if (tensor->_backwardFunc) {
((*tensor).*(tensor->_backwardFunc))(); // 执行反向传播
}
}
}
4. 完整C++实现示例
以下代码实现了文章开头的PyTorch示例的完整计算流程,揭示了Autograd的底层原理。通过系统编程的方式构建基础组件,是理解复杂框架的有效途径。
#include <iostream>
#include <memory>
#include <set>
#include <stack>
#include <vector>
using namespace std;
class Tensor;
using TensorPtr = shared_ptr<Tensor>;
class Tensor : public enable_shared_from_this<Tensor> {
public:
double val;
double grad;
void (Tensor::*_backwardFunc)();
shared_ptr<vector<TensorPtr>> cache;
Tensor(double value = 0, double gradient = 0)
: val(value), grad(gradient), _backwardFunc(NULL),
cache(make_shared<vector<TensorPtr>>()) {}
void AddBackward() {
for (auto i : *cache) {
i->grad += grad;
}
}
void SubBackward() {
(*cache)[0]->grad += grad;
(*cache)[1]->grad -= grad;
}
void MulBackward() {
(*cache)[0]->grad += grad * (*cache)[1]->val;
(*cache)[1]->grad += grad * (*cache)[0]->val;
}
void ReluBackward() { /*... 在val>0时传播梯度 ...*/ }
TensorPtr relu() {
shared_ptr<Tensor> out = make_shared<Tensor>();
out->val = this->val > 0 ? this->val : 0;
if (this->val > 0)
out->cache->push_back(shared_from_this());
out->_backwardFunc = &Tensor::ReluBackward;
return out;
}
void BuildTopo(TensorPtr tensor, set<TensorPtr> &u_set, stack<TensorPtr> &topo) {
if (!u_set.count(tensor)) {
u_set.insert(tensor);
for (auto i : *(tensor->cache)) {
BuildTopo(i, u_set, topo);
}
topo.push(tensor);
}
}
void Backward() {
set<TensorPtr> u_set;
stack<TensorPtr> topo;
this->grad = 1;
BuildTopo(shared_from_this(), u_set, topo);
while (!topo.empty()) {
auto tensor = topo.top();
topo.pop();
if (tensor->_backwardFunc) {
((*tensor).*(tensor->_backwardFunc))();
}
}
}
};
// 操作符重载(部分)
TensorPtr operator+(TensorPtr tensorA, TensorPtr tensorB) { /*...*/ }
TensorPtr operator*(TensorPtr tensorA, TensorPtr tensorB) { /*...*/ }
// ... 其他操作符
int main() {
TensorPtr x = make_shared<Tensor>(-2);
TensorPtr z, y1, y2, loss;
z = 2 * x;
y1 = z + 5;
y2 = (z * z)->relu() + x + 3;
loss = y1 - y2 + y2 * x;
loss->Backward();
cout << “loss value: “ << loss->val << endl;
cout << “x gradient: “ << x->grad << endl;
return 0;
}
实现说明:
- 本例仅实现了
+、-、*、relu等基础操作,读者可依此模式扩展。
- 真实的PyTorch还需处理多维张量、设备(CPU/GPU)、更高效的内存管理等复杂问题,但其Autograd核心思想与此一致。
- 类似实现思路也适用于其他语言,如Python的知名教学项目micrograd。
总结
一维梯度运算是理解现代深度学习框架自动微分机制的基石。透彻理解从计算图构建、拓扑排序到梯度传播的完整流程后,便可在此基础上进一步探索多维张量的支持、GPU加速等高级特性,从而更深入地掌握如PyTorch这类复杂框架的内部工作原理。
附录
附1:问题2的验证代码
import torch
x = torch.tensor([2], dtype=torch.float32, requires_grad=True)
z = x ** 2
y = 2 * z
z.retain_grad()
y.backward()
print(z.grad.item()) # 输出 2
print(x.grad.item()) # 输出 8
附2:公式1~5的复合函数求导验证
(过程略,与计算图分解求解结果一致,均为 grad_x = 64)
参考
- PyTorch官方教程-Autograd
- micrograd项目