嵌入式WEB服务器是将Web服务器移植到嵌入式系统中的软件。它基于HTTP协议进行通信,具备标准接口。对客户端而言,访问嵌入式设备上的服务与访问普通Web服务器体验无异。
在实际开发中,在板卡上搭建WEB服务器能为调试带来极大便利。它允许我们通过网页与设备交互,在没有显示屏的情况下,这也是一种有效的功能展示与配置方案。
一、核心约束
嵌入式环境与传统服务器环境存在本质差异,主要体现在三大硬性约束上:
| 约束维度 |
典型指标 |
| 内存 |
8MB ~ 128MB |
| CPU |
100MHz ~ 1GHz |
| 存储 |
4MB ~ 32MB Flash |
传统服务器的设计哲学是“功能全面 + 可扩展性”,而嵌入式服务器则追求“够用 + 极致精简”。
二、常见嵌入式 Web 服务器
2.1 NGINX
NGINX是服务器端的王者,那么在嵌入式场景中它是否依然适用?许多人认为NGINX仅适用于服务器,但实际上,它在高性能嵌入式设备(如智能网关、边缘计算盒子)上表现卓越,非常适合中高端嵌入式平台(如 Cortex-A53/A72)。
NGINX 依赖于 pthread、zlib 等库,若目标嵌入式系统未预装,则需要手动移植。
其架构采用 “Master 进程 + Worker 进程 + 事件驱动” 模型,并发处理能力远超 Boa 等轻量级服务器,但相应的资源开销也更大。

嵌入式裁剪编译:
通过深度裁剪,其二进制文件大小可压缩至约 350KB。

内存占用优化配置示例:

2.2 Boa
Boa 是一款单进程、高性能的“老兵”。作为老牌的单线程异步 Web 服务器,它曾是嵌入式领域的“标配”,其核心优势在于极致小巧(编译后仅几十KB)。但需要注意的是,该项目早已停止维护,最后一个版本发布于2005年。
Boa 采用“单进程 + 非阻塞 I/O + 事件驱动”模型。可以将其类比为“一个服务员同时接待多位顾客,只处理有需求的顾客,不会空闲等待”。但由于是单线程,在高并发场景下可能出现响应延迟。

使用 Boa 需要配置 boa.conf 文件,一个最简配置示例如下:
echo "Port 80
User 0
Group 0
DocumentRoot /var/www
ServerName EmbeddedBoa
CGIPath /bin:/usr/bin:/sbin:/usr/sbin" > boa.conf
设计一个简单的测试网页:

在嵌入式设备上启动 Boa 服务:

进程启动成功后,在浏览器中输入开发板的 IP 地址即可访问 index.html 网页:
Boa 适用场景:
- 内存小于 32MB 的设备(如基于 OpenWrt 的路由器)。
- 仅需要提供静态页面和 CGI 动态交互的简单场景。
Boa 的局限性:
- 原生不支持 HTTPS。若产品需要加密传输,必须额外集成 OpenSSL,这会带来较高的适配和集成成本。
2.3 Thttpd
Thttpd 是一款单进程、支持多线程(可选)的轻量级服务器。其核心优势在于静态页面处理速度极快、资源占用低(编译后约100KB),并支持虚拟主机、URL重写等功能,目前仍有少量社区维护。
独到之处:
- 内置 URL 流量控制功能,可防止大文件下载耗尽网络带宽。
- 支持 IPv6 和虚拟主机。
- 代码量仅约 6000 行,结构清晰,易于定制和修改。
局限:
对动态 CGI 的支持较弱,且同样不支持 HTTPS。
2.4 Mini_httpd
Mini_httpd 是一款超轻量级服务器(编译后仅约50KB)。它支持 CGI、SSI(服务器端包含),并可集成 OpenSSL 以支持 HTTPS。其代码量极少(仅几千行),非常易于理解、修改和移植,适合资源极度受限的嵌入式场景。
一个典型的启动配置命令如下:
# 典型配置
./mini_httpd -p 8080 -d /www -c "**.cgi" -u root
| 与 Thttpd 的简单对比: |
特性 |
Thttpd |
Mini_httpd |
| 二进制大小 |
~120KB |
~80KB |
| 内存占用 |
~800KB |
~600KB |
| HTTPS |
不支持 |
支持 |
2.5 Lighttpd
Lighttpd(常被称为“小灯”)是一款事件驱动的轻量级服务器。其核心优势在于功能全面且资源占用适中(编译后约200KB),支持 CGI、FastCGI、HTTPS、gzip 压缩等特性,社区活跃度较高。
主要特性:
- 轻量级:安装包小,运行时内存占用少,非常适合嵌入式系统等资源受限环境。
- 出色的FastCGI支持:早期对FastCGI支持最好的服务器之一,与PHP/Python等语言配合高效。
- 强大的URL重写:提供灵活的
mod_rewrite 模块。
- 高效的静态文件服务:对于图片、CSS、JS等静态文件的发送性能极佳。
- 模块化设计:功能通过模块加载,可按需启用或禁用,保持核心精简。
- 安全性:代码库小,历史安全漏洞相对较少。
Lighttpd 与 Nginx 设计哲学相似(事件驱动、高性能、低消耗),常被一起比较。Lighttpd 像一个专注的“特种兵”,在其擅长的领域(高并发连接、低资源消耗)表现出色;而 Nginx 则像一个功能全面的“多面手”,适用性更广。

适用场景:
需要 PHP 或 Python 等语言支持的复杂 Web 应用,例如网络摄像头的流媒体管理界面。
配置示例:

2.6 Appweb
Appweb 是专为嵌入式环境设计的工业级 Web 服务器,支持 HTTP/2、HTTPS、WebSocket、RESTful API 等现代特性。其核心优势在于稳定性高、适配性强。需要注意的是,部分高级功能需要商业授权,但其开源版本已足够满足大多数嵌入式基础需求。
核心优势:
- 内置对嵌入式数据库(如 SQLite)的支持。
- 提供 ESP(嵌入式服务器页面),一种类似 JSP 的模板引擎。
- 原生支持 TLS 1.3 和双向认证,安全性高。
ESP 示例(用于动态生成设备状态页面):

适用场景:
- 对安全性要求高的工业控制系统(需安全认证)。
- 需要快速开发复杂 Web 交互界面的嵌入式项目。
三、综合对比
3.1 资源占用对比

3.2 功能特性对比

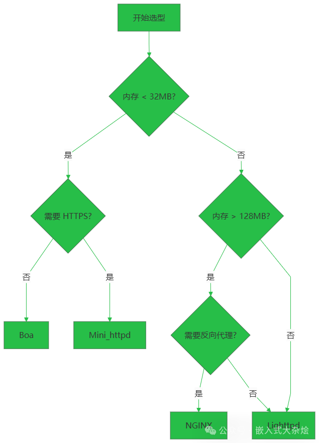
3.3 选型决策树
根据设备资源和功能需求,可以参考以下决策流程进行选择:
