
本文介绍一种检测链表是否存在环的高效方法:快慢指针(Floyd 判圈)。该方法在不额外占用空间的前提下,可在 [O(n)] 时间复杂度内完成判断,适用于面试与工程中对链表结构的健壮性检测。
在学习本题前,建议先补齐基础的算法/数据结构知识点(链表、指针移动、复杂度分析)。
题目描述
给定一个链表,判断链表中是否有环。
为了表示给定链表中的环,我们使用整数 pos 表示链表尾连接到链表中的位置(索引从 0 开始)。如果 pos 是 -1,则该链表中没有环。
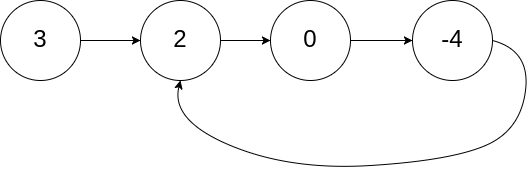
示例
输入:head = [3,2,0,-4], pos = 1
输出:true
解释:链表中有一个环,其尾部连接到第二个节点。

思路解析:快慢指针判环
核心思想是用两个指针以不同速度在链表上移动:
slow:每次走 1 步
fast:每次走 2 步
若链表存在环,fast 终将追上 slow,两者会在环内某个节点相遇;若不存在环,fast 会先到达 nullptr,循环结束。
进阶也建议掌握:
- 为什么有环时快慢指针一定会相遇
step=2 能相遇,那么 step=n(如 n=3)是否也能相遇
- 如何找到环的入口节点
参考代码(C++)
注意:这里 fast 从 head->next 开始,是一种常见写法,可避免初始即 slow==fast 的干扰判断。
/*
struct ListNode {
int val;
struct ListNode *next;
ListNode(int x) :
val(x), next(NULL) {
}
};
*/
class Solution {
public:
bool hasCycle(ListNode *head) {
if (head == nullptr) {
return false;
}
ListNode * slow = head;
ListNode * fast = head->next; // fast指针要这么写
while (fast && fast->next) {
// 慢指针每次走一步,快指针每次走两步
slow = slow->next;
fast = fast->next->next;
// 快慢指针能相遇就代表有环
if (slow == fast) {
return true;
}
}
return false;
}
};

复杂度
- 时间复杂度:[O(n)]
- 空间复杂度:[O(1)]
如果你在实现中遇到空指针判断、边界条件处理等问题,建议回顾 C++ 指针与链表遍历的细节,这类问题在链表题中非常高频。
|