本文详细介绍了组合逻辑电路设计中的两种核心化简方法:卡诺图化简法和逻辑代数化简法。内容涵盖卡诺图的绘制与化简规则、逻辑代数的基本定律与原则,并通过大量实例解析函数化简过程。最后,探讨了数字电路中竞争与冒险现象的产生原因及消除方法,适合电子工程、计算机科学及数字逻辑领域的学习者与工程师参考。
一、卡诺图化简法
卡诺图是一种利用图形化方法对逻辑函数进行化简的强大工具,特别适合处理变量数较少的情况。
1. 前置知识:最小项
在深入卡诺图之前,必须理解最小项的概念。
- 最小项的定义:一个包含了函数所有变量的乘积项,其中每个变量都以原变量或反变量的形式出现且仅出现一次。
- 最小项的表示方法:通常用 $m_i$ 表示。下标
i 的确定方法是:将最小项中的原变量记为 1,反变量记为 0,形成一个二进制数,其对应的十进制数即为下标 i。
例如,对于三变量函数 L(A, B, C):

由此可以确定各个最小项:

- 最小项的相邻性:如果两个最小项只有一个因子不同,其余因子完全相同,则称它们为相邻最小项。例如,$m_0$ 和 $m_1$ 相邻。相邻的最小项可以合并并消去一个变量。

2. 卡诺图的构造与特点
卡诺图是一种特殊的方格图,由美国工程师卡诺(Karnaugh)提出,其核心特点是几何位置相邻的方格,所代表的最小项在逻辑上也相邻。
- 对于
n 个变量的逻辑函数,其卡诺图由 $2^n$ 个方格构成,每个方格对应一个最小项。
- 变量排列遵循格雷码顺序,确保相邻性。
两变量卡诺图:

三变量卡诺图:

示例:画出逻辑函数 $F(A,B,C,D) = \sum m(0,1,2,5,7,8,10,11,14,15)$ 的卡诺图。
解:在四变量卡诺图中,将序号为 0,1,2,5,7,8,10,11,14,15 的方格填入 1,其余填入 0。

3. 卡诺图化简法
利用卡诺图中相邻项可合并的特性进行化简,基本原则是画圈合并。
- 化简规则:
- 两个相邻
1 格可合并为一项,消去一个变量。
- 四个相邻
1 格可合并为一项,消去两个变量。
- 八个相邻
1 格可合并为一项,消去三个变量。
(以此类推,合并的方格数必须为 2 的幂次)
示例:两个相邻项的合并

化简得:$m_1 + m_5 = BC$
示例:四个相邻项的合并

化简得:$m_1+m_3+m_5+m_7 = C$
画圈合并的具体步骤与原则:
- 填图:将函数转化为最小项表达式,并填入卡诺图。
- 画圈:对图中的
1 格进行画圈合并。需遵循:
- 圈尽所有1:每个
1 格至少被一个圈覆盖。
- 圈大优先:在满足前一条的前提下,圈越大越好(消去变量多)。
- 圈数最少:圈的个数越少越好(与项少)。
- 独立新1:每个圈应至少包含一个未被其他圈覆盖过的
1 格,避免冗余。
画圈正误对比示例:
- 错误(多画圈) vs 正确:

- 错误(圈不够大) vs 正确:

- 错误(圈内无新1格):

4. 包含无关项的卡诺图化简
在实际的数字系统或网络/系统设计中,某些输入组合永远不会出现,或对输出没有影响,这些项称为无关项(Don‘t Care Terms)。在卡诺图中用 × 表示。
- 化简技巧:充分利用无关项
× 的灵活性,可根据需要将其看作 1 或 0,以帮助画更大的圈,获得更简化的表达式。
示例:已知 $F(A,B,C,D) = \sum m(1,2,3,6,7) + \sum d(10,11,12,13,14,15)$,求最简与或式。
解:填图时,最小项填1,无关项填×。画圈时,将有助于扩大圈的×视为1。

化简结果为:$F = \bar{B} + AC$
5. 手动化简总结与软件工具
- 总结:卡诺图法直观简单,但通常适用于变量数 ≤ 5 的情况。变量过多时,图形过于复杂,可借助算法/数据结构思想或软件工具辅助。
- 软件工具:可使用专门的逻辑函数化简软件(如 K-map minimizer)。基本流程是输入真值表或最小项表达式,软件自动生成化简结果。

二、逻辑代数化简法
逻辑代数化简法(公式法)运用布尔代数的基本定律和规则进行推导化简,适用于各种复杂函数,但要求熟练运用公式。
1. 逻辑代数的基本定律
以下定律成对出现,互为对偶式。
2. 逻辑代数的三个基本原则
- 代入规则:等式中的任一变量都可用另一个函数替代,等式依然成立。
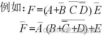
- 对偶规则:将函数式 $F$ 中所有的
· 与 + 互换,0 与 1 互换,变量保持不变,得到的新式子 $F‘$ 称为 $F$ 的对偶式。
- 反演规则:求函数 $F$ 的反函数 $\bar{F}$ 时,将 $F$ 中所有的
· 与 + 互换,0 与 1 互换,原变量与反变量互换,并保持原运算顺序。

3. 逻辑函数式的化简
代数化简的目标是得到最简与或式:与项个数最少,且每个与项内的变量数最少。
常用化简技巧:
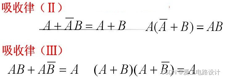
- 并项法:利用 $AB + A\bar{B} = A$
- 吸收法:利用 $A + AB = A$ 或 $A + \bar{A}B = A + B$
- 消去法:利用 $AB + \bar{A}C + BC = AB + \bar{A}C$
- 配项法:乘以 $(A+\bar{A})$ 增加项,以便与其他项合并化简。
化简示例:
$F = A\bar{B} + \bar{A}B + B\bar{C} + \bar{B}C$
$= A\bar{B} + \bar{A}B(C+\bar{C}) + B\bar{C} + \bar{B}C(A+\bar{A})$ (配项)
$= A\bar{B} + \bar{A}BC + \bar{A}B\bar{C} + B\bar{C} + A\bar{B}C + \bar{A}\bar{B}C$
$= A\bar{B}(1+C) + B\bar{C}(1+\bar{A}) + \bar{A}C(B+\bar{B})$
$= A\bar{B} + B\bar{C} + \bar{A}C$
三、竞争与冒险
在组合逻辑电路中,信号经过不同路径产生的延迟可能导致瞬时错误输出,这种现象称为冒险。
1. 产生原因
当某个输入变量通过两条或以上路径到达输出端,且各路延迟时间不同时,就会产生“竞争”。若竞争导致输出出现不应有的尖峰脉冲(毛刺),则称为“冒险”。
2. 类型与判断
- “0”型冒险:输出产生负向尖脉冲。表现为化简后函数在特定条件下出现 $F = A + \bar{A}$ 的形式。
- “1”型冒险:输出产生正向尖脉冲。表现为化简后函数在特定条件下出现 $F = A · \bar{A}$ 的形式。
判断方法:检查函数中每个具有竞争条件的变量(以原、反变量形式出现),令其他变量为特定值(0或1),看函数是否能化为 $A+\bar{A}$ 或 $A·\bar{A}$ 的形式。
示例:判断 $F = AC + \bar{A}B + \bar{A}\bar{C}$ 是否存在冒险。
- 考虑变量A:令 B=1, C=0,则 $F = A·0 + \bar{A}·1 + \bar{A}·1 = \bar{A}$,不会出现 $A+\bar{A}$。令 B=0, C=1,则 $F = A·1 + \bar{A}·0 + \bar{A}·0 = A$,也不会。但,令 B=1, C=1,则 $F = A·1 + \bar{A}·1 + \bar{A}·0 = A + \bar{A}$,存在“0”型冒险。
- 考虑变量B和C:它们不具备竞争条件(未同时以原、反变量出现)。
3. 消除方法
- 修改逻辑设计:增加冗余项。例如对上例,增加冗余项 $BC$,则 $F = AC + \bar{A}B + \bar{A}\bar{C} + BC$。当 B=1,C=1时,$BC=1$,封锁了 $A+\bar{A}$ 产生的毛刺。
- 输出端接滤波电容:在输出端并联一个几十到几百皮法(pF)的小电容,可以滤除高频的窄脉冲毛刺。
- 引入选通脉冲:在电路输出稳定后,才让选通脉冲有效,读取输出值。