随着金融数据中心规模的不断扩大,其对供电稳定性的要求也不断提升,而电容补偿则是电力系统中提高功率因数、减少电能损耗的一个重要方式。以验证电容补偿对金融数据中心负载供电稳定性的影响及提升效果为目标,本文从稳态和暂态两方面分析了电容投入后的影响,并基于 Simulink 搭建仿真模型验证了外部电网扰动时负载侧的电压稳定性,以期为金融数据中心优化电容补偿方案提供有价值的借鉴和参考。
随着数字经济的蓬勃发展,金融数据中心的数量、规模及重要性与日俱增,并对 供配电系统 的稳定性与可靠性提出了更高要求。对此,无功补偿技术作为提升电力系统电能质量的有效手段,不仅能有效补偿系统中存在的感性无功,从而提升功率因数,还可以进一步降低线路损耗、稳定电压水平。然而,无功补偿装置的投入并非仅带来积极影响,若配置不当,也可能引发诸如过电压、振荡等问题,对金融数据中心供电稳定性构成潜在威胁。因此,深入研究无功补偿投入后对数据中心供配电系统电压稳定性的影响,全面评估其利弊,对于优化金融数据中心供配电系统设计、提高供电系统运行效率和可靠性具有重要的理论意义和应用价值。针对该领域,笔者团队以典型金融数据中心供配电系统为研究对象,从多个维度探讨了无功补偿投入后对供配电系统产生的影响,并通过开展理论计算及仿真分析,希望为保障金融数据中心高效、稳定运行提供可行的技术路径和优化方向。
一、金融数据中心供配电系统架构及电容投入影响概述
当前,供配电系统作为支撑金融数据中心稳定运行的核心基础设施,通常由多个层级的供配电路径及冗余保障体系构成,其架构设计需兼顾高可靠性、高效能与可扩展性。以可靠性最高的 A 级数据中心典型架构为例(如图 1 所示),其供配电系统整体采用 2N 架构,引入 2 路(或以上)10kV / 35kV 市电,配备柴油发电机组、低压母联、UPS、ATS、小母排、电容补偿柜以及有源滤波柜等供配电设备,分为 A、B 两路向末端 IT 设备及制冷设备供电。

图 1 A级金融数据中心典型供配电系统架构
其中,电容补偿柜主要通过并联电容器组向系统注入无功,从而补偿冷机、水泵、UPS 等感性负载消耗的无功,并将功率因数提升至 0.95 以上。其作用是减少无功电流在供电路径中的损耗,降低设备发热能耗,释放变压器容量,提升带载能力,同时避免因功率因数过低被罚款,节省运行成本。但若金融数据中心采用高频 UPS 及变频器较多,功率因数可能无需补偿便高于 0.9。
因此,对于不同的金融数据中心而言,需明确是否需要投入补偿以及具体的补偿量是多少。从实际效果来看,电容补偿的正面影响为减少无功损耗、提高功率因数、提升电压稳定性、减少电费支出等,若与滤波柜配合使用还能够有效降低谐波含量;负面影响则是可能造成过补偿、电压异常抬高、谐振风险、合闸涌流及保护配合等问题,并进一步增加运维成本。电容投入影响分析见表 1。
表 1 电容投入影响分析

二、电容投入前后的计算分析与仿真验证
为验证电容投入对供配电系统的实际影响,选取某金融数据中心(采用典型的供配电系统架构)当前的运行情况作为分析对象,笔者团队总结梳理了稳态电压和暂态电压的计算方式及补偿电容后的相关影响。结合现场实测数据,该数据中心向冷冻站供电的变电站单相有功功率为 124 kW,视在功率为 134 kVA,功率因数为 0.93,单相电压有效值为 225 V,线电流有效值为 592 A,变压器变比为 10500 / 400,短路阻抗为 5.84%。同时,现场配备的电容补偿柜采用三角形连接方式,每组电容为 3 × 135 μF。
针对电容补偿柜投入前后的电压变化,笔者团队选择用等效电路的计算方式来计算电压变化,同时考虑会使用外部电网电压,因此将变压器也纳入计算范围。在电容投入后,电路在经历暂态过程后到达稳态,同时在外部电网电压波动时,电路也在经历暂态过程后恢复至稳态。电容投入前以及稳态和暂态的等效电路如图 2 所示。

图 2 等效电路示意
1. 稳态电压计算
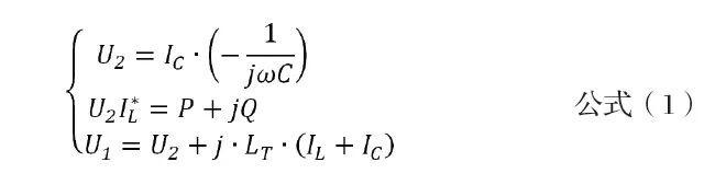
针对稳态电路,确立稳态计算的前提条件为:电容投入前后外电网电压以及有功、无功负载量不变。如图 2 (b) 所示,在电容投入后,即为负载回路额外并联了一组电容,因此根据电路 KCL、KVL 联立可得:

其中,$U_1$ 表示外部电网输入电压,$L_T$ 表示变压器感抗,$P + jQ$ 表示后级负载等效有功和无功功率,$C$ 表示补偿电容,$U_2$ 表示负载回路电压,$I_C$、$I_L$ 分别表示电容回路及负载回路电流。
根据实际无功功率,为避免过补偿出现,仅需投入一组补偿电容即可。因此,根据公式 (1),联立方程求得投入一组电容后,在稳态时的负载回路电压、负载回路电流及电容柜回路电流如下:

由此可见,投入补偿电容后,确实能将负载在正常运行时的稳态电压提升约 1 V,线电压有效值提升约 1.73 V。在发生电压暂降时,扩大了允许的电压降低范围,若负载允许电压偏差为 ±10%,线电压降至 342 V 仍可正常运行,则投入补偿电容后,便可多允许电压降低 1.73 V,可能便使得冷机不会停机,能够持续稳定运行。若投入更多电容则可进一步提升该效果。
2. 暂态电压计算
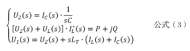
针对暂态电路,使用拉氏变换(s 域)来分析求解电路受到扰动后的负载电压变化。考虑扰动后补偿电容及负载回路的等效电感具备初始储能,因此在两个支路中分别添加了初始电压,同样根据电路 KCL、KVL 联立可得:

其中,$I(s)$、$I_L(s)$、$I_C(s)$ 分别表示主回路、负载回路及电容回路电流。
若在输入电压达到峰值时,出现供电中断的情况,由于补偿电容及感性负载仍有残存的能量,负载侧短时间内仍会存在一定的电压和电流。通过代入已知条件进行定量计算,负载侧电压变化近似如下:

由此可见,在未配备滤波柜的情况下,若外电网供电突然中断,负载侧电压将产生如公式 (4) 所示的高频振荡并快速衰减。对金融数据中心而言,滤波柜与电容补偿柜应配合使用,以避免高频振荡、谐振等情况出现,使波形变化平缓。同时也能看出,虽然补偿电容能避免电压直接归零,但对维持电压的效果也比较有限。
3. Simulink 仿真验证
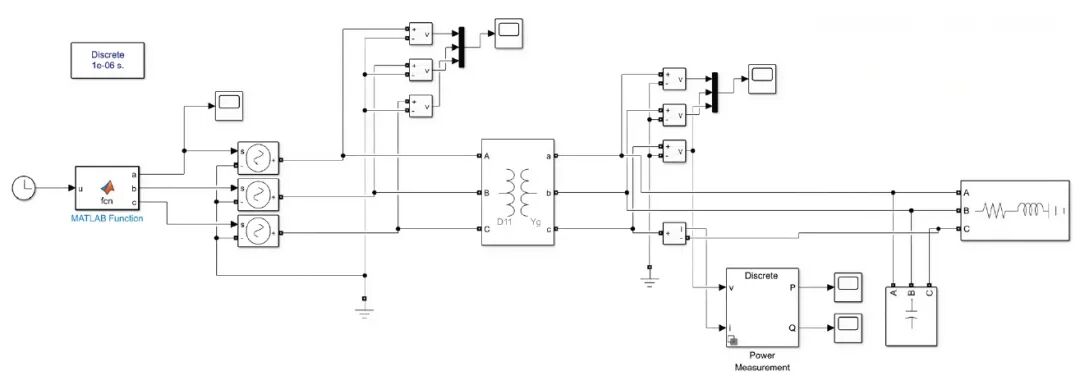
结合上述内容,通过在 Matlab / Simulink 中按照等效电路搭建仿真模型(如图 3 所示),主要模拟了外部电网 B 相电压暂降 50% 后,投入补偿电容前后负载侧电压的变化曲线(如图 4 所示)。仿真结果显示,仿真曲线与暂态计算结果相符合,在投入补偿电容的情况下,当外部电网发生电压暂降时,电压并没有直接降低,而是曲线下降,并形成高频且快速衰减的小幅振荡,配合滤波器能够过滤部分高频振荡,但是对暂态电压稳定性的提升比较有限。

图 3 Simulink 仿真模型

图 4 补偿电容投入前后的变化曲线
三、总结与展望
综上所述,通过开展理论计算及 Simulink 仿真,可得到投入补偿电容对金融数据中心电压稳定性的影响如下:
通过无功补偿,可有效提高功率因数,提升稳态电压,并避免负荷增加时电压降低的问题。此外,在外部电网发生电压暂降或长时间降低的情况时,有可能使负载不受该电压下降的影响,从而提升设备运行稳定性;然而,在外部电网电压暂降或波动期间,实际支撑效果较弱,补偿电容无法确保负载依旧稳定运行。
因此,恰当地投入补偿电容确实能够在一定程度上提升电压稳定性,从而使负载在电压暂降时有更大的可能继续运行,但是其效果较弱,仅能小幅缓解外界因素对负载的影响。同时值得注意的是,补偿电容柜与滤波柜的使用会带来更多的运维成本,在实际投入前需要确认电容等部件无故障,也要保证参数匹配,避免谐振、过补偿、电容频繁投切等情况出现。