在嵌入式系统领域,有一句流传甚广的话:“无滤波器,不嵌入式”。各种传感器信号多多少少都会携带一些噪声,而滤波器的核心任务,就是有效降低和去除这些噪声,还原真实有用的信号。
其中,无源RC滤波器以其低廉的成本和简单的结构,成为许多设计中的首选方案。更重要的是,它的设计理念可以方便地数字化,转化为软件滤波器,二者在本质上是相通的。然而,很多工作多年的工程师仍在凭经验盲目调整RC参数,这不禁让人思考:我们是否应该更系统地掌握其背后的原理和设计方法?
当然,除了RC滤波器,还有更复杂的FIR、IIR等数字滤波器,但万变不离其宗。理解RC这个基础,是通往更复杂滤波技术的重要一步。下面,我们就来深入探讨RC滤波器的设计。
时域和频域
当你在示波器上观察一个电信号时,看到的那条随时间变化的电压轨迹,就是信号的时域表示。在任何给定的时刻,信号只有一个电压值。
这种表示非常直观,但也有其局限性:它无法直接告诉我们信号中包含了哪些频率成分。与时域相对的是频域。频域表示(也称为频谱)则揭示了信号中同时存在的各种频率分量及其强度。理解频域分析是掌握滤波器工作原理的关键。
什么是滤波器?
滤波器是一种电路,它能选择性地去除或“过滤掉”信号中特定范围的频率分量。换句话说,它像是一个筛子,将信号的频谱分离为“可以通过”和“将被阻隔”两部分。
如果你对频域概念还感到抽象,让我们来看一个简单的例子。假设我们有一个纯净的5kHz音频正弦波信号。在频域中,我们只会看到一个位于5kHz的“尖峰”。
现在,假设有一个500kHz的振荡器被意外激活,将高频噪声引入了这个音频信号。在示波器上,信号看起来变成了一个叠加了高频波动的复杂波形,因为每个时刻的电压值是正弦波和噪声共同作用的结果。
但在频域视角下,正弦波和噪声是信号中两个独立的频率分量,它们占据了频谱图的不同位置(如图1所示)。正因为它们“住”在不同的频率“房间”里,我们才有可能通过一个“只让低频通过、阻挡高频”的电路,将噪声滤除。

图1:正弦波和噪声信号在频域中占据不同位置
滤波器的类型
根据频率响应的特征,滤波器可分为几大类:让低频通过、阻挡高频的称为低通滤波器;反之,阻挡低频、通过高频的则是高通滤波器。此外,还有只让很窄一段频率通过的带通滤波器,以及只阻挡很窄一段频率的带阻滤波器(图2)。

图2:四种基本滤波器类型的频域表示
根据所用元件的不同,滤波器又可分为无源和有源。无源滤波器使用电阻、电容、电感这些不能提供能量放大的元件,因此只能维持或衰减输入信号的幅度。有源滤波器则包含了晶体管或运算放大器等有源器件,既能滤波又能放大信号(图3)。

图3:基于Sallen-Key拓扑结构的有源低通滤波器
本文将重点剖析无源低通滤波器的分析与设计,这类电路在各类系统中应用极为广泛。
RC低通滤波器
要构建一个无源低通滤波器,我们需要将电阻元件与电抗元件(电容或电感)组合起来。理论上,电阻-电感(RL)和电阻-电容(RC)两种拓扑都能实现低通滤波。但在实际工程中,RC方案更为常见,因此下文我们将聚焦于RC低通滤波器(图4)。

图4:RC低通滤波器
如图所示,将一个电阻与信号路径串联,再将一个电容与负载并联,就构成了一个RC低通滤波器。图中的负载可能是一个独立的元件,也可能是模数转换器、放大器或示波器输入级等更复杂的电路。
如果我们把电阻和电容看作一个与频率相关的分压器,就能直观地理解其滤波原理(图5)。

图5:将RC低通滤波器看作一个分压器
当输入信号频率很低时,电容的阻抗远大于电阻的阻抗,因此大部分输入电压都降落在电容(及与之并联的负载)两端。当输入信号频率很高时,电容的阻抗变得远小于电阻的阻抗,电压主要降在电阻上,只有很少一部分能到达负载。于是,低频信号得以“通过”,高频信号被“阻挡”。
这种定性的理解是第一步,但对于实际设计电路还远远不够。工程师需要精确设计能通过和阻挡特定频率的滤波器。例如,在前面的音频系统例子中,我们需要一个滤波器,能尽量无衰减地保留5kHz的有用信号,同时强烈抑制500kHz的噪声。这就引出了“截止频率”和“带宽”的概念。
截止频率与带宽
滤波器不会引起显著衰减的频率范围称为通带,而产生显著衰减的范围称为阻带。像RC滤波器这样的模拟滤波器,其过渡总是渐进的,不存在一个突然“切断”信号的精确频率点。
为了简明地描述滤波器特性,工程师引入了截止频率的概念。对于RC低通滤波器,截止频率定义为信号幅度下降至原始值约70.7%(即功率下降50%)时所对应的频率。因为这个衰减量对应-3dB,所以截止频率也常被称为-3dB频率,这个称呼其实更准确。带宽则指滤波器通带的宽度,对于低通滤波器,带宽就等于-3dB截止频率(如图6所示)。

图6:RC低通滤波器的频率响应,带宽等于-3dB频率
滤波器之所以呈现低通特性,源于电阻的恒定阻抗与电容的频率相关阻抗(容抗)之间的相互作用。RC低通滤波器的截止频率 (f_c) 由以下经典公式决定:

图7:截止频率计算公式 f_c = 1/(2πRC)
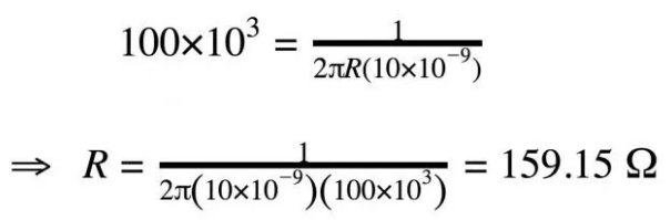
让我们来实际设计一个滤波器。目标很明确:保留5kHz的音频信号,抑制500kHz的噪声。我们先从选取一个常见的电容值开始,比如10nF,然后利用公式计算所需的电阻值。我们初步将截止频率设定为100kHz,后续再分析这个选择的效果。计算过程如图8。

图8:计算实例 R = 1/(2π × 10nF × 100kHz) ≈ 159 Ω
因此,一个约160Ω的电阻与一个10nF的电容搭配,就能得到一个截止频率接近100kHz的滤波器。
计算滤波器响应
我们可以通过一个“频率相关版本”的分压器公式来计算低通滤波器的输出。对于一个标准电阻分压器(图9),其输出电压为:

图9:标准电阻分压器
其输出电压公式为:

图10:电阻分压器公式 V_OUT = V_IN × [R2 / (R1 + R2)]
我们的RC滤波器结构与之类似,只是用电容器的电抗 (X_C) 代替了R2。但要注意,此时分母应为总阻抗的幅值。因此,RC低通滤波器的输出电压幅度公式为(图11):

图11:RC低通滤波器输出电压公式 V_OUT = V_IN × [X_C / √(R² + X_C²)]
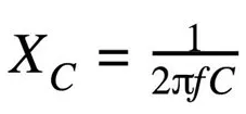
电容的电抗(容抗)计算公式为(图12):

图12:电容电抗公式 X_C = 1 / (2πfC)
现在,让我们用前面设计的滤波器参数(R ≈ 160Ω, C = 10nF)进行具体计算。假设输入信号V_IN幅度为1V以便简化。
首先计算在5kHz正弦波频率下的输出幅度(图13):


图13:5kHz信号通过滤波器后的计算,输出幅度约为0.999V
可见,5kHz正弦波的幅度几乎没有衰减。这符合预期,因为我们设定的截止频率(100kHz)远高于信号频率(5kHz)。
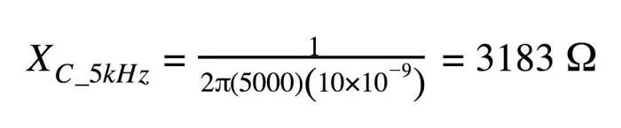
再来计算滤波器对500kHz噪声的抑制效果(图14):


图14:500kHz噪声通过滤波器后的计算,输出幅度约为0.195V
噪声幅度被衰减到了原值的约20%,即-14dB左右,抑制效果显著。
可视化滤波器响应
评估滤波器性能最便捷的方式是观察其频率响应图,即波特图。这种图的纵轴是幅度(单位dB),横轴是频率(通常为对数刻度),使得我们能在很宽的频率范围内快速、准确地评估滤波器行为(图15)。

图15:频率响应波特图示例(通带、截止频率与滚降)
曲线上的每个点表示:当输入信号幅度为1V、频率为横轴对应值时,输出信号的幅度值。例如,在输入频率1MHz处,输出幅度约为0.1V(因为-20dB对应衰减为十分之一)。
随着使用经验增加,你会对这种曲线的形状非常熟悉:通带内几乎平坦,接近截止频率时开始下降,最终滚降率稳定在 -20dB/十倍频程。这意味着频率每增加十倍,输出信号幅度就减少20dB。
评估低通滤波器性能
如果我们精确绘制前述设计滤波器的频率响应曲线,会看到5kHz处增益接近0dB(无衰减),500kHz处增益约-14dB(对应0.2倍的增益),这与我们的计算结果完全吻合。
由于RC滤波器的过渡总是渐进的,我们无法设计出一个“完美”滤波器——既能对有用信号毫无影响,又能将噪声完全消除。设计总是一种权衡:如果将截止频率向5kHz靠近,噪声衰减会更强,但有用信号也会被更多衰减;如果将截止频率向500kHz靠近,有用信号衰减变小,但噪声抑制能力也会减弱。
前面我们主要讨论了滤波器对信号幅度的影响。除此之外,电抗元件(电容)还会引入相移。
低通滤波器相移
“相位”描述的是周期性信号在特定时刻所处的状态。电路引起的相移,会导致输入和输出信号之间产生时间上的偏移,它们的波峰和波谷不再对齐。相移的大小用度数表示,如45°或90°。
RC低通滤波器中只有一个电抗元件(电容),因此电路最终会引入最大90°的相移。这个相移也是随频率逐渐变化的。通过观察相位-频率波特图(图16)可以详细了解其变化规律:

图16:实线为幅度响应,虚线为相位响应。注意在截止频率(100kHz)处,相移为45°
其变化模式可概括为:
- 在低频时,相移接近0°。
- 相移逐渐增加,在截止频率处恰好达到45°。
- 超过截止频率后,相移继续增加并逐渐接近90°。
二阶低通滤波器
到目前为止,我们讨论的RC滤波器只包含一个电阻和一个电容,这被称为一阶滤波器。无源滤波器的“阶数”由其电抗元件(电容或电感)的数量决定。
高阶滤波器能提供更陡峭的滚降率,这是提升滤波器阶数的主要动机。每增加一阶,最大滚降率可增加20dB/十倍频程。例如,二阶滤波器通常基于RLC谐振电路构建。但也可以创建二阶RC滤波器,方法很简单:将两个一阶RC滤波器级联起来(图17)。

图17:二阶RC低通滤波器电路图
二阶RC滤波器的频率响应
如果我们简单地将两个为相同截止频率设计的一阶RC滤波器串联,确实会得到一个具有类似二阶响应的电路,其最大滚降可达40dB/decade。
但这会带来两个问题:首先,两个滤波级并非独立工作,这会导致整体的-3dB频率比预期值要低。其次,即使我们在两级之间插入缓冲器使其独立,在原始设计的截止频率处,总衰减也会是6dB(每级贡献3dB)而非3dB(图18)。

图18:三种二阶滤波器频率响应对比(RLC、带缓冲RC-RC、无缓冲RC-RC)
二阶RC低通滤波器的一个根本限制在于,设计者无法通过调整Q因子(表示频率响应阻尼程度的参数)来优化从通带到阻带的过渡形状。当两个相同的RC低通级联时,Q因子固定为0.5,这会导致过渡区域出现“下垂”。而二阶有源滤波器或RLC滤波器则没有这个限制,设计者可以通过控制Q因子来微调频率响应。
小结
电信号通常是所需频率分量与不需要的噪声分量的混合体。滤波器正是为了处理这种混合信号而生的电路,它能以不同的方式对待信号频谱中的不同部分。
低通滤波器让低频分量通过,同时抑制高频分量。其截止频率标志着从低衰减到显著衰减的过渡区域。通过将RC电路视为由电阻和容抗组成的分压器,我们可以精确计算其输出电压。
利用波特图(幅度/相位 vs. 对数频率)是分析和可视化滤波器理论行为的强大工具。二阶滤波器能提供更陡的滚降,在需要锐利分离频带的场合非常有用。虽然可以通过级联两个一阶RC滤波器来构建二阶RC滤波器,但需要注意其整体-3dB频率会发生变化。
希望这篇关于RC低通滤波器从原理到实战设计的梳理,能帮助你摆脱“盲调”参数的困境,建立起更系统、更自信的电路设计能力。如果你对这类电路设计基础内容感兴趣,欢迎在云栈社区与其他开发者继续深入探讨。
本文内容源于网络知识整理,仅供学习交流。